Statistical tests and their
relevance to Dental Research
INDIAN DENTAL ACADEMY
Leader in continuing Dental Education
www.indiandentalacademy.com
www.indiande
ntalacademy.c
om
Contents
Introduction
Descriptive statistics
Tests of significance
Parametric test
Non Parametric test
Application of tests in dental research
Conclusion
Bibliography
www.indiande
ntalacademy.c
om
Introduction
Normal BP – 120/80 mm Hg
Europeans are taller than Asians
Average male adult weighs 70kgs
Drug A is better than drug B
- Endless
Cannot be arrived by just Raw data
Numbers tell tales – Speak the language of
STATISTICS – Adds meaning to data – helps to
interpret data
Thus lending “significance” to the study
www.indiande
ntalacademy.c
om
Descriptive statistics
STATISTICS
– Is the science of compiling, classifying &
tabulating numerical data and expressing the
results in a mathematical or graphical form.
OR
Statistics is the study of methods & procedures
for collecting, classifying, summarizing &
analyzing data & for making scientific inferences
from such data.
- Prof P.V.Sukhatme
www.indiande
ntalacademy.c
om
BIOSTATISTICS
–Is the branch of statistics applied to
biological or medical sciences (biometry).
OR
- Is that branch of statistics concerned
with mathematical facts and data relating
to biological events.
www.indiande
ntalacademy.c
om
VARIABLE
– A general term for any feature of the
unit which is observed or measured.
FREQUENCY DISTRIBUTION
– Distribution showing the number of
observations or frequencies at different
values or within certain range of values of
the variable.
www.indiande
ntalacademy.c
om
Mean
Dividing the total of all observations by
the number of observations
n
x
n
xxxx
x
n ∑
=
++++
=
....321
4.2
5
12
5
0.23.02.72.02.3
0,2.0.2.0,2.7,3.2.3,scoresDMFTofmeanthecalculateEg.
==
++++
=x
www.indiande
ntalacademy.c
om
Geometric mean (GM) – nth root of the
product
ii x
n
xn
HM
111
1
∑
=
∑
=
( )( )( ) ( )
n
xn xxxxGM n
log
...321
∑
==
When the variation between the lowest and the highest
value is very high, geometric mean is advised & preferred
Harmonic mean (HM) – is the reciprocal of
the arithmetic mean of the reciprocal of the observations
www.indiande
ntalacademy.c
om
Median
– is the middle value, which divides the
observed values into two equal parts, when the
values are arranged in ascending or descending
order



 +
2
1n
2.33
2
615
3,2.7,3.02.0,2.0.2.
order,ascin
0,2.0.2.0,2.7,3.2.3,scoresDMFTofmedianthecalculateEg.
ie
arrange
valuerd
==
=+
=
www.indiande
ntalacademy.c
om
Mode
– is the value of the variable which occurs
most frequently
Mode = (3median – 2mean)
1.24.222.33Mode
2.0Mode
0,2.0.2.0,2.7,3.2.3,scoresDMFTofmodethecalculateEg.
=×−×=
=
www.indiande
ntalacademy.c
om
Variance
Is the appropriate measure of dispersion
for interval or ratio level data
Computes how far each score is from the
mean
Each score will have a deviation from the mean, so to
find the average deviation => we have to add all the
deviations and divide it by number of scores (just like
calculating mean)
This is done by ( )xx −
www.indiande
ntalacademy.c
om
( )
( ) 0....
..
=−
−
∑
∑
xxbut
N
xx
ei
So to eliminate this zero, square the deviations which
eliminates the (-) sign
( ) 2
2
.. S
N
xx
ei =
−∑
- is the average of the squared deviations
www.indiande
ntalacademy.c
om
Standard deviation(Root Mean
Square deviation)
 Is defined as the square root of the
arithmetic mean of the squared
deviations of the individual values from
their arithmetic mean
( ) ( )
N
xx
sSD
2
−∑
==
( ) ( )
1
2
−
−∑
==
N
xx
SD σ For small samples
For large samples
www.indiande
ntalacademy.c
om
( ) ( )
1
2
−
−∑
==
N
xxf
SD σ
( ) ( )
N
xxf
sSD
2
−∑
==
For small samples
For large samples
For frequency distribution
www.indiande
ntalacademy.c
om
Uses of SD
1. Summarizes the deviations of a large distribution from mean in
one figure used as unit of freedom
2. Indicates whether the variation from the mean is by chance or
real
3. Helps finding standard error- which determines whether the
difference b/n means of two samples is by chance or real
4. Helps finding the suitable size of the sample for valid
conclusions
www.indiande
ntalacademy.c
om
Standard error
Standard deviation of mean values
Used to compare means with one
another
n
SD
SE ==
sizesample
deviationStandard
www.indiande
ntalacademy.c
om
Coefficient of variation
is a measure used to measure relative
variability
I.e,
Variation of same character in two or more different
series .
(eg – pulse rate in young & old person)
Variation of two different characters in one & same
series .
(eg – height & weight in same individual)
100
Mean
DeviationStandard
×=CV
www.indiande
ntalacademy.c
om
Normal curve and distribution
The histogram of the same frequency
distribution of heights, with large
number of observations & small class
intervals – gives a frequency curve which
is symmetrical in nature  Normal curve
or Gaussian curve
www.indiande
ntalacademy.c
om
x
Normal curve
www.indiande
ntalacademy.c
om
Characteristics of normal curve
Bell shaped
Symmetrical
Mean, Mode & Median – coincide
Has two inflections – the central part is convex, while
at the point of inflection the curve changes from
convexity to concavity
www.indiande
ntalacademy.c
om
 On preparing frequency distribution
with small class intervals of the data
collected, we can observe
A distribution of this nature or shape is
called Normal or Gaussian distribution
1. Some observations are above the mean & others
are below the mean
2. If arranged in order, maximum number of frequencies
are seen in the middle around the mean & fewer at the
extremes decreasing smoothly
3. Normally half the observations lie above & half below
the mean & all are symmetrically distributed on each
side of mean
www.indiande
ntalacademy.c
om
Arithmetically
nsobservatio68.27%include,limits1SDmean ±
nsobservatio95.45%includelimits,2SDmean ±
nsobservatio95%includelimits,96.1 SDmean ±
nsobservatio99.73%includeslimits,3SDmean ±
nsobservatio99%includeslimits,58.2 SDmean ±
www.indiande
ntalacademy.c
om
x
68.26%
95.46%
99.72%
SDx 1− SDx 1+
SDx 2− SDx 2+
SDx 3− SDx 3+
Normal curve and distribution
142.5 3
145.0 8
147.5 15
150.0 45
152.5 90
155.0 155
157.5 194
160.0(M) 195
162.5 136
165.0 93
167.5 42
170.0 16
172.5 6
175.0-177.5 2
Mean – 160.0 SD – 5cm
Height
in cm
frequency of
each group
frequency with in
height limits of
Mean
±1SD
680
68%
Mean
±2SD
950
95%
Mean
±3SD
995
99%
www.indiande
ntalacademy.c
om
www.indiande
ntalacademy.c
om
Relative or standard normal deviate
or variate – (Z)
Is the deviation from the mean in a
normal distribution or curve
-in standard normal curve
the mean is taken as zero & SD as unity of one
SD
xx
SD
Z
−
==
mean-nobservatio
www.indiande
ntalacademy.c
om
Skewness
Skewness – as the static to measure the
asymmetry
coefficient of skewness is 0
Bimodal
Negatively (left) skewed
Positively (right) skewed
www.indiande
ntalacademy.c
om
kurtosis
Kurtosis – is a measure of height of the
distribution curve
Coefficient of kurtosis is 3
Mesokurtic (normal)
Platykurtic (flat)
Leptokurtic(high)
www.indiande
ntalacademy.c
om
Tests of significance
Population
is any finite collection of elements
I.e – individuals, items, observations etc,.
Statistic –
is a quantity describing a sample, namely a function
of observations
Parameter –
 is a constant describing a population
Sample –
is a part or subset of the population
www.indiande
ntalacademy.c
om
Statistic
(Greek)
Parameter
(Latin)
Mean
Standard
Deviation
Variance
Correlation
coefficient
Number of
subjects
x
s
2
s
r
n
µ
σ
2
σ
ρ
N
www.indiande
ntalacademy.c
om
Hypothesis testing
Hypothesis
is an assumption about the status of a phenomenon or is a
statement about the parameters or form of population
0H
H
Null hypothesis or hypothesis of no difference –
States no difference between statistic of a sample & parameter
of population or b/n statistics of two samples
This nullifies the claim that the experiment result is different
from or better than the one observed already
Denoted by
www.indiande
ntalacademy.c
om
Alternate hypothesis –
Any hypothesis alternate to null hypothesis, which is to
be tested
Denoted by 1H
Note : the alternate hypothesis is accepted when
null hypothesis is rejected
www.indiande
ntalacademy.c
om
Type I & type II errors
Type I error =
Type II error =
No errorType II erroris true
Type I errorNo erroris true
AcceptAccept
0H 1H
1H
0H
α
β
When primary concern of the test is to see
whether the null hypothesis can be rejected
such test is called Test of significance
www.indiande
ntalacademy.c
om
The probability of committing type I error is
called “P” value
Thus p-value is the chance that the presence
of difference is concluded when actually there
is none
α
Type I error – important- fixed in advance at a
low level – such upper limit of tolerance of the
chance of type I error is called
Level of Significance ( )
Thus α is the maximum tolerable probability
of type I error
www.indiande
ntalacademy.c
om
Difference b/n level of significance & P-
value -
LOS P-value
1) Maximum tolerable
chance of type I error
1) Actual probability of
type I error
2) α is fixed in advance 2) calculated on basis of data
following procedures
The P-value can be more than α or less than α depending on data
When P-value is < than α  results is statistically significant
www.indiande
ntalacademy.c
om
The level of significance is usually
fixed at 5% (0.05) or 1% (0.01) or
0.1% (0.001) or 0.5% (0.005)
Maximum desirable is 5% level
When P-value is b/n
0.05-0.01 = statistically significant
< than 0.01= highly statistically significant
Lower than 0.001 or 0.005 = very highly significant
www.indiande
ntalacademy.c
om
1/2α
1/2 α
Zone of
Rejection H0
Zone of
Rejection H0
Zone of
Acceptance H0
SDx 96.1+SDx 96.1−
x
Sampling Distribution
Confidence limits – 95%
Confidence interval
www.indiande
ntalacademy.c
om
Tests of significance
 Are mathematical methods by which
the probability (P) or relative frequency
of an observed difference, occurring by
chance is found
 Steps & procedure of test of
significance –
1. State null hypothesis
2. State alternate hypothesis
3. Selection of the appropriate test to be utilized &
calculation of test criterion based on type of test
0H
1H
www.indiande
ntalacademy.c
om
4. Fixation of level of significance
5. Select the table & compare the calculated value with
the critical value of the table
6. If calculated value is > table value, is rejected
7. If calculated value is < table value, is accepted
8. Draw conclusions
0H
0H
TESTS IN TEST OF SIGNIFICANCE
Parametric
(normal distribution &
Normal curve )
Non-parametric
(not follow
normal distribution)
Quantitative data Qualitative data
Student ‘t’ test
1) Paired
2) Unpaired
Z test
(for large samples)
One way ANOVA
Two way ANOVA
1) Z – prop testQualitative
(quantitative converted
to qualitative )
1. Mann Whitney U test
2. Wilcoxon rank test
3. Kruskal wallis test
4. Spearman test
www.indiande
ntalacademy.c
om
www.indiande
ntalacademy.c
om
Parametric Uses Non-parametric
Paired t test Test of diff b/n
Paired observation
Wilcoxon signed
rank test
Two sample t test Comparison of two
groups
Wilcoxon rank sum test
Mann Whitney U test
Kendall’s s test
One way Anova Comparison of
several groups
Kruskal wallis test
Two way Anova Comparison of groups
values on two variables
Friedmann test
Correlation
coefficient
Measure of association
B/n two variable
Spearman’s rank
Correlation
Kendall’s rank
correlation
Normal test (Z test ) Chi square test
www.indiande
ntalacademy.c
om
Student ‘t’ test
Small samples do not follow normal
distribution as the large ones do => will
not give correct results
Prof W.S.Gossett – Student‘t’ test – pen
name – student
It is the ratio of observed difference b/n
two mean of small samples to the SE of
difference in the same
www.indiande
ntalacademy.c
om
Actually, t-value  Z-value of large
samples, but the probability (P) of this is
determined by reference ‘t’ table
Degree of freedom (df)- is the quantity in
the denominator which is one less than
independent number of observations in a
sample
For unpaired ‘t’ test =
For paired ‘t’ test = n-1
221 −+ nn
Types
Unpaired ‘t’ test
Paired ‘t’ test
www.indiande
ntalacademy.c
om
 Criteria for applying ‘t’ test –
 Random samples
 Quantitative data
 Variable follow normal distribution
 Sample size less than 30
 Application of ‘t’ test –
1. Two means of small independent sample
2. Sample mean and population mean
3. Two proportions of small independent samples
www.indiande
ntalacademy.c
om
Unpaired ‘t’ test
I) Difference b/n means of two independent
samples
Group 1 Group 2
Sample size
Mean
SD
1n 2n
1x 2x
1SD 2SD
( ) 0210 =−⇒ xxH
( ) 0211 ≠−⇒ xxH
1) Null hypothesis
2) Alternate hypothesis
Data –
www.indiande
ntalacademy.c
om
3) Test criterion
( )21
21
xxSE
xx
t
−
−
=
( ) bycalculatedisofhere 21 xxSE −
( ) 





+=−
21
21
11
of
nn
SDxxSE
( ) ( )
2
11
where
21
2
22
2
11
−+
−+−
=
nn
SDnSDn
SD
( ) ( ) ( )






+
−+
−+−
=−
2121
2
22
2
11
21
11
2
11
nnnn
SDnSDn
xxSE
www.indiande
ntalacademy.c
om
4) Calculate degree of freedom
( ) ( ) 111 2121 −+=−+−= nnnndf
6) Draw conclusions
5) Compare the calculated value &
the table value
www.indiande
ntalacademy.c
om
Example – difference b/n caries experience of
high & low socioeconomic group
Sl
no
Details High socio
economic group
Low socio
economic group
I Sample size
II DMFT
III Standard deviation
151 =n 102 =n
91.21 =x 26.22 =x
27.01 =SD 22.02 =SD
( )
23,34.6
1027.0
65.0
21
21
===
−
−
= df
xxSE
xx
t
001.0001.0 76.3 ttt c >∴=
There is a significant difference
www.indiande
ntalacademy.c
om
T table
www.indiande
ntalacademy.c
om
Other applications
II) Difference b/n sample mean & population
mean
n
SDSE
x
t
=
−
=
µ
1−= ndf






+
−
=
21
21
11
nn
PQ
pp
t
21
2211
where
nn
pnpn
P
+
+
=
PQ −=1
221 −+= nndf
III) Difference b/n two sample proportions
www.indiande
ntalacademy.c
om
Paired ‘t’ test
 Is applied to paired data of observations
from one sample only when each individual
gives a paired of observations
 Here the pair of observations are correlated
and not independent, so for application of ‘t’
test following procedure is used-
1. Find the difference for each pair
2. Calculate the mean of the difference (x) ie
3. Calculate the SD of the differences & later SE
xyy =− 21
x






=
n
SD
SE
www.indiande
ntalacademy.c
om
4. Test criterion
( ) ( )
n
xSD
x
dSE
x
t =
−
=
0
1−= ndf
7. Draw conclusions
6. Refer ‘t’ table & find the probability
of calculated value
5. Degree of freedom
www.indiande
ntalacademy.c
om
Example – to find out if there is any significant
improvement in DAI scores before and after orthodontic
treatment
Sl no DAI before DAI after Difference Squares
1 30 24 6 36
2 26 23 3 9
3 27 24 3 9
4 35 25 10 100
5 25 23 2 4
Total 20 158
www.indiande
ntalacademy.c
om
( ) ( ) ( ) ( ) ( ) ( )222222
42410434346squares,ofsum
4
5
20
−+−+−+−+−=−
===
∑
∑
xx
n
x
xMean
46
436114
=
++++=
( )
78.2but
416352.2
5179.1
4
5179.1
5
391.3
391.35.11
4
46
1
5.0
5.0
2
tt
t
ndf
SE
x
t
n
SD
SE
n
xx
SD
c
c
<∴
=
=−====∴
===∴
===
−
−
=
∑
Hence not significant
www.indiande
ntalacademy.c
om
Z test (Normal test)
Similar to ‘t’ test in all aspect except that
the sample size should be > 30
In case of normal distribution, the
tabulated value of Z at -
960.1level%5 05.0 == Z
576.2level%1 01.0 == Z
290.3level%1.0 001.0 == Z
www.indiande
ntalacademy.c
om
 Z test can be used for –
1. Comparison of means of two samples –






+=
2
2
2
1
2
1
n
SD
n
SD
( )21
21
xxSE
xx
Z
−
−
=
( ) ( )2
2
2
121where SESExxSE +=−
n
SD
x
Z
2
µ−
=
2. Comparison of sample mean & population mean
www.indiande
ntalacademy.c
om
3. Difference b/n two sample proportions
21
2211
21
21
herew
11 nn
pnpn
P
nn
PQ
pp
Z
+
+
=












+
−
=
PQ −=1












−
=
n
PQ
Pp
Z
1
Where p = sample proportion
P = populn proportion
4. Comparison of sample proportion
(or percentage) with population proportion
(or percentage)
www.indiande
ntalacademy.c
om
Analysis of variance (ANOVA)
 Useful for comparison of means of several
groups
 Is an extension of student’s ‘t’ test for more
than two groups
 R A Fisher in 1920’s
 Has four models
1. One way classification (one way ANOVA )
2. Single factor repeated measures design
3. Nested or hierarchical design
4. Two way classification (two way ANOVA)
www.indiande
ntalacademy.c
om
One way ANOVA
Can be used to compare like-
Effect of different treatment modalities
Effect of different obturation techniques on the apical
seal , etc,.
www.indiande
ntalacademy.c
om
Groups (or treatments) 1 2 i k
Individual values
Calculate
No of observations
Sum of x values
Sum of squares
Mean of values
11x
2ix22x
nx2nx1
12x
1kx1ix21x
inx
2kx
knx
n n n n
nxxx 11211 ...+++=1Τ 2T iT kT
( ) ( ) ( )2
1
2
12
2
11 .. nxxx +++=1S
2S iS kS
n
T
x 1
1 = 2x ix kx
www.indiande
ntalacademy.c
om
ANOVA table
Sl
no
Source
of
variation
Degree
of
freedom
Sum of squares Mean sum of
squares
F ratio or
variance ratio
I Between
Groups
II With in
groups
III Total
1−k
kn −
1−n
( ) 





−=− ∑∑ i ii i
N
T
xxx
2
22
( ) ∑∑ ∑∑ ∑ −=− i
i
i
i j iji j iij
n
T
xxx
2
22
( ) 





−=− ∑ ∑∑ ∑ N
T
xxx i j iji j ij
2
22
( )
1
2
2
−
−
=
∑
k
xx
S i i
B
kN
n
T
x
S
i j i
i
i
ij
W
−






−
=
∑ ∑ ∑
2
2
2
1
22
2
−
−
=
∑ ∑
N
N
Tx
S
i j ij
T
( )kNk
S
S
W
B
−− ,12
2
ANOVA
www.indiande
ntalacademy.c
om
www.indiande
ntalacademy.c
om
Example- see whether there is a difference in number of
patients seen in a given period by practitioners in three
group practice
Practice A B C
Individual values 268 387 161
349 264 346
328 423 324
209 254 293
292 239
Calculate
No of observations (n) 5 4 5
Sum of x values 1441 1328 1363
Sum of squares 426899 462910 393583
Mean of values 288.2 332.0 272.6
www.indiande
ntalacademy.c
om
( )
71.63861
2
222
=
++
++
−++=
∑∑
CBA
CBA
CBA
nnn
xxx
xxx
( ) ( ) ( ) ( )
71.8215
2222
=
++
++
−++=
∑ ∑∑∑∑∑
CBA
CBA
C
C
B
B
A
A
nnn
xxx
n
x
n
x
n
x
55646.0
SSbetween-SStotal
=
=
Between group sum of squares
Total sum of squares
With in group sum of squares
www.indiande
ntalacademy.c
om
ANOVA table
Sl
no
Source of
variation
Degree of
freedom
Sum of squares Mean sum of squares F ratio or variance
ratio
I Between
Groups
II With in
groups
III Total
213 =−
11314 =−
13114 =−
71.8215
71.63861
55646.0
86.4107
2
71.8215
=
73.5088
11
55646
=
81.0
73.5088
86.4107
=
( )11,298.381.0 05.0 === dfFF
Because FC < FT , there is no significant difference
in the number of patients attending 3 different practice
www.indiande
ntalacademy.c
om
Further, any particular pair of
treatments can be compared using
SE of difference b/n two means
Eg – cd xx &
( )
criteriontestt''
usingbytestedbemaydifference&
11
cd
cd
cd
xx
nn
MSExxSE
−






+=−
( )cd
cd
xxSE
xx
t
−
−
=
www.indiande
ntalacademy.c
om
Two way ANOVA
Is used to study the impact of two
factors on variations in a specific
variable
Eg – Effect of age and sex on DMFT value
Sample values
blocks Treatments sample size Total Mean
value
i
ii
..
n
Sample
size
Total
Mean
value
11x
32x22x
nx2nx1
12x
1kx31x21x
nx3
2kx
knx
n n n n
k
k
k
Nnk =
2T
nT
1T
1T
2T
kT3T T
2x
1x
kx3x2x1x
nx
xwww.indiande
ntalacademy.c
om
www.indiande
ntalacademy.c
om
Sl
no
Source Sum of
squares
Degree of
freedom
Mean sum of squares
(MSS)
Variance ratio
F
I Blocks
II Treatments
III Residual
or error
IV Total
2 way ANOVA table
1−n
1−k
( )( )11 −− kn
( ) 11 −=− Nnk
1
blocks
−
=
n
SS
MS blocks
1−
=
k
SS
MS treatments
treatments
( )( )11 −−
=
kn
SS
MS residual
residual
residual
blocks
MS
MS
F =1
residual
treatment
MS
MS
F =2
( ) ( )( )11Vs1ofwithblocksofratiovariance1 −−−= knndfF
( ) ( )( )11Vs1ofwiths'treatmentofratiovariance2 −−−= knkdfF
blocksSS
treatmentsSS
residualSS
totalSS
www.indiande
ntalacademy.c
om
Multiple comparison tests
1. Fisher’s procedure – student’s ‘t’ test
2. Least significant difference method (LSD)
 Just like student’s ‘t’ test
 To test significant difference b/n two groups or variable
means
1. Scheffe’s significant difference procedure
 Is applicable when groups having heterogeneous variance
or variations
1. Tukey’s method
 For comparison of the differences b/n all possible pairs of
treatments or group means
www.indiande
ntalacademy.c
om
5. Duncan’s multiple comparison test
– For all comparisons of paired groups only
6. Dunnet’s comparison test procedure
– For comparison of one control and several treatment
groups
www.indiande
ntalacademy.c
om
Non parametric tests
Here the distribution do not require any
specific pattern of distribution. They are
applicable to almost all kinds of distribution
Chi square test
Mann Whitney U test
Wilcoxon signed rank test
Wilcoxon rank sum test
Kendall’s S test
Kruskal wallis test
Spearman’s rank correlation
www.indiande
ntalacademy.c
om
Chi square test
 By Karl Pearson & denoted as χ²
 Application
1. Alternate test to find the significance of difference in
two or more than two proportions
2. As a test of association b/n two events in binomial or
multinomial samples
3. As a test of goodness of fit
www.indiande
ntalacademy.c
om
Requirement to apply chi square test
Random samples
Qualitative data
Lowest observed frequency not less than 5
Contingency table
Frequency table where sample classified according
to two different attributes
2 rows ; 2 columns => 2 X 2 contingency table
r rows : c columns => rXc contingency table
( )
∑
−
=
E
EO
2
2
χ
O – observed frequency
E – expected frequency
www.indiande
ntalacademy.c
om
 Steps
1. State null & alternate hypothesis
2. Make contingency table of the data
3. Determine expected frequency by
4. Calculate chi-square of each by-
( )cr ×
( )frequencytotalN
cr
E
×
=
( )
E
EO
2
2 −
=χ
www.indiande
ntalacademy.c
om
5. calculate degree of freedom
6. Sum all the chi-square of each cell – this gives
chi-square value of the data
7. Compare the calculated value with the table
value at any LOS
8. Draw conclusions
( )
∑
−
=
E
EO
2
2
χ
( )( )11 −−= rcdf
www.indiande
ntalacademy.c
om
Example from a dental health campaign
School Oral hygiene Total
G F+ F- P
Below avg 62
(85.9)
103
(93.0)
57
(45.2)
11
(8.9)
233
Avg 50
(43.9)
36
(47.5)
26
(23.1)
7
(4.6)
119
Above avg 80
(62.3)
69
(67.5)
18
(32.8)
2
(6.5)
169
Total 192 208 101 20 521
( )frequencytotalN
cr
E
×
= ( )( ) 63211 =×=−−= rcdf
( ) 4.31
2
2
=
−
= ∑ E
EO
cχ 22.46is0.001PatTable 2
=tχ
Hence significant difference
www.indiande
ntalacademy.c
om
www.indiande
ntalacademy.c
om
Alternate formulae
If we have contingency table
( )
( )( )( )( )
1with
2
2
=
++++
−
= df
dbcadcba
bcadN
χ
( )( )( )( )
1with
2
2
2
=
++++






−−
= df
dbcadcba
N
bcadN
χ
a b a+b
c d c+d
a+c b+d a+b+c+d=N
If one of the value is below 5 => Yate’s
correction formula
www.indiande
ntalacademy.c
om
If the table is larger than 2X2, Yate’s correction cannot
be applied – then the small frequency (<5) can be
pooled or combined with next group or class in the
table
Chi square test only tells the presence or absence of
association, but does not measure the strength of
association
www.indiande
ntalacademy.c
om
 If degree of association as to be
calculated then –
1. Yule’s coefficient of association
bcad
bcad
Q
+
−
=
ad
bc
ad
bc
Y
+
−
=
1
1
( )( )( )( )dcdbcaba
bcad
V
++++
−
=
2
2
χ
χ
+
=
N
C
4. Pearson’s coefficient of contingency
3. -
2. Yule’s coefficient of colligation
www.indiande
ntalacademy.c
om
Wilcoxon signed rank test
Is equivalent to paired ‘t’ test
Steps
Exclude any differences which are zero
Put the remaining differences in ascending order,
ignoring the signs
Gives ranks from lowest to highest
If any differences are equal, then average their ranks
Count all the ranks of positive differences – T+
Count all the ranks of negative differences – T-
www.indiande
ntalacademy.c
om
If there is no differences b/n variables then T+
& T_ will be similar, but if there is difference
then one sum will be large and the other will be
much smaller
T= smaller of T+&T_
Compare the T value with the critical value for
5%, 2% & 1% significance level
A result is significant if it is smaller than
critical value
www.indiande
ntalacademy.c
om
Example:Results of a placebo-controlled clinical trail to test
the effectiveness of sleeping drug
Patients Sleep hrs
Drug Placebo
1 6.1 5.2
2 7.0 7.9
3 8.2 3.9
4 7.6 4.7
5 6.5 5.3
6 8.4 5.4
7 6.9 4.2
8 6.7 6.1
9 7.4 3.8
10 5.8 6.3
Difference
0.9
-0.9
4.3
2.9
1.2
3.0
2.7
0.6
3.6
-0.5
Rank with signs
+ -
3.5 -
- -3.5
10 -
7 -
5 -
8 -
6 -
2 -
9 -
- -1
50.5 -4.5
www.indiande
ntalacademy.c
om
Calculated T=-4.5 df =10,
Table value at 5% (n=10)= 8
Cal T< table value, H0 is rejected
We conclude that sleeping drug is more
effective than the placebo
www.indiande
ntalacademy.c
om
Mann Whitney U test
Is used to determine whether two
independent sample have been drawn
from same sample
It is a alternative to student ‘t’ test &
requires at least ordinal or normal
measurement
( )
21
11
21
2
1
RorR
nn
nnU −
+
+=
Where, n1n2 are sample sizes
R1 R2 are sum of ranks assigned to I & II group
www.indiande
ntalacademy.c
om
All the observation in two samples are ranked
numerically from smallest to largest without
regarding the groups
Procedure
Then identify the observation for I and II samples
Sum of ranks for I and II sample determined
separately
Take difference of two sum T =R1 - R2
www.indiande
ntalacademy.c
om
Comparison of birth weights of children born to 15 non
smokers with those of children born to 14 heavy smokers
NS 3.9 3.7 3.6 3.7 3.2 4.2 4.0 3.6 3.8 3.3 4.1 3.2 3.5 3.5 2.7
HS 3.1 2.8 2.9 3.2 3.8 3.5 3.2 2.7 3.6 3.7 3.6 2.3 2.3 3.6
R1 26 23 16 21 8 29 27 17 24 12 28 10 15 13 03
R2 7 5 6 11 25 14 9 4 20 22 19 2 1 18
Ranks assignments
www.indiande
ntalacademy.c
om
Sum of R1= 272 and Sum of R2=163
Difference T=R1 – R2 is 109
The table value of T0.05 is 96 , so reject the H0
We conclude that weights of children born to the
heavy smokers are significantly lower than those of
the children born to the non-smokers (p<0.05)
www.indiande
ntalacademy.c
om
Applications of statistical tests
in Research Methods
www.indiande
ntalacademy.c
om
One variable,
two group sample problem
www.indiande
ntalacademy.c
om
One variable,
multiple group sample problem
www.indiande
ntalacademy.c
om
Interested in relationship
b/n two variables
Are both continuous variablesUse linear
regression
Is one variable continuous
& other categorical
Use analysis
of variance
Or
Logistic regression
Both variables
categorical
Use contingency
table analysis
Two variable problem
Yes
No
Yes
No
www.indiande
ntalacademy.c
om
Research interested in relationship
B/n more than two variables
Use multiple regression
Or
Multivariate analysis
Multiple – variable problem
www.indiande
ntalacademy.c
om
Conclusion
Statistics are excellent tools in research data
analysis; how ever, if inappropriately used they may
make the results of a well conducted research study
un-interpretable or meaningless
www.indiande
ntalacademy.c
om
www.indiande
ntalacademy.c
om

Statistical tests/prosthodontic courses

  • 1.
    Statistical tests andtheir relevance to Dental Research INDIAN DENTAL ACADEMY Leader in continuing Dental Education www.indiandentalacademy.com
  • 2.
    www.indiande ntalacademy.c om Contents Introduction Descriptive statistics Tests ofsignificance Parametric test Non Parametric test Application of tests in dental research Conclusion Bibliography
  • 3.
    www.indiande ntalacademy.c om Introduction Normal BP –120/80 mm Hg Europeans are taller than Asians Average male adult weighs 70kgs Drug A is better than drug B - Endless Cannot be arrived by just Raw data Numbers tell tales – Speak the language of STATISTICS – Adds meaning to data – helps to interpret data Thus lending “significance” to the study
  • 4.
    www.indiande ntalacademy.c om Descriptive statistics STATISTICS – Isthe science of compiling, classifying & tabulating numerical data and expressing the results in a mathematical or graphical form. OR Statistics is the study of methods & procedures for collecting, classifying, summarizing & analyzing data & for making scientific inferences from such data. - Prof P.V.Sukhatme
  • 5.
    www.indiande ntalacademy.c om BIOSTATISTICS –Is the branchof statistics applied to biological or medical sciences (biometry). OR - Is that branch of statistics concerned with mathematical facts and data relating to biological events.
  • 6.
    www.indiande ntalacademy.c om VARIABLE – A generalterm for any feature of the unit which is observed or measured. FREQUENCY DISTRIBUTION – Distribution showing the number of observations or frequencies at different values or within certain range of values of the variable.
  • 7.
    www.indiande ntalacademy.c om Mean Dividing the totalof all observations by the number of observations n x n xxxx x n ∑ = ++++ = ....321 4.2 5 12 5 0.23.02.72.02.3 0,2.0.2.0,2.7,3.2.3,scoresDMFTofmeanthecalculateEg. == ++++ =x
  • 8.
    www.indiande ntalacademy.c om Geometric mean (GM)– nth root of the product ii x n xn HM 111 1 ∑ = ∑ = ( )( )( ) ( ) n xn xxxxGM n log ...321 ∑ == When the variation between the lowest and the highest value is very high, geometric mean is advised & preferred Harmonic mean (HM) – is the reciprocal of the arithmetic mean of the reciprocal of the observations
  • 9.
    www.indiande ntalacademy.c om Median – is themiddle value, which divides the observed values into two equal parts, when the values are arranged in ascending or descending order     + 2 1n 2.33 2 615 3,2.7,3.02.0,2.0.2. order,ascin 0,2.0.2.0,2.7,3.2.3,scoresDMFTofmedianthecalculateEg. ie arrange valuerd == =+ =
  • 10.
    www.indiande ntalacademy.c om Mode – is thevalue of the variable which occurs most frequently Mode = (3median – 2mean) 1.24.222.33Mode 2.0Mode 0,2.0.2.0,2.7,3.2.3,scoresDMFTofmodethecalculateEg. =×−×= =
  • 11.
    www.indiande ntalacademy.c om Variance Is the appropriatemeasure of dispersion for interval or ratio level data Computes how far each score is from the mean Each score will have a deviation from the mean, so to find the average deviation => we have to add all the deviations and divide it by number of scores (just like calculating mean) This is done by ( )xx −
  • 12.
    www.indiande ntalacademy.c om ( ) ( )0.... .. =− − ∑ ∑ xxbut N xx ei So to eliminate this zero, square the deviations which eliminates the (-) sign ( ) 2 2 .. S N xx ei = −∑ - is the average of the squared deviations
  • 13.
    www.indiande ntalacademy.c om Standard deviation(Root Mean Squaredeviation)  Is defined as the square root of the arithmetic mean of the squared deviations of the individual values from their arithmetic mean ( ) ( ) N xx sSD 2 −∑ == ( ) ( ) 1 2 − −∑ == N xx SD σ For small samples For large samples
  • 14.
    www.indiande ntalacademy.c om ( ) () 1 2 − −∑ == N xxf SD σ ( ) ( ) N xxf sSD 2 −∑ == For small samples For large samples For frequency distribution
  • 15.
    www.indiande ntalacademy.c om Uses of SD 1.Summarizes the deviations of a large distribution from mean in one figure used as unit of freedom 2. Indicates whether the variation from the mean is by chance or real 3. Helps finding standard error- which determines whether the difference b/n means of two samples is by chance or real 4. Helps finding the suitable size of the sample for valid conclusions
  • 16.
    www.indiande ntalacademy.c om Standard error Standard deviationof mean values Used to compare means with one another n SD SE == sizesample deviationStandard
  • 17.
    www.indiande ntalacademy.c om Coefficient of variation isa measure used to measure relative variability I.e, Variation of same character in two or more different series . (eg – pulse rate in young & old person) Variation of two different characters in one & same series . (eg – height & weight in same individual) 100 Mean DeviationStandard ×=CV
  • 18.
    www.indiande ntalacademy.c om Normal curve anddistribution The histogram of the same frequency distribution of heights, with large number of observations & small class intervals – gives a frequency curve which is symmetrical in nature  Normal curve or Gaussian curve
  • 19.
  • 20.
    www.indiande ntalacademy.c om Characteristics of normalcurve Bell shaped Symmetrical Mean, Mode & Median – coincide Has two inflections – the central part is convex, while at the point of inflection the curve changes from convexity to concavity
  • 21.
    www.indiande ntalacademy.c om  On preparingfrequency distribution with small class intervals of the data collected, we can observe A distribution of this nature or shape is called Normal or Gaussian distribution 1. Some observations are above the mean & others are below the mean 2. If arranged in order, maximum number of frequencies are seen in the middle around the mean & fewer at the extremes decreasing smoothly 3. Normally half the observations lie above & half below the mean & all are symmetrically distributed on each side of mean
  • 22.
  • 23.
    www.indiande ntalacademy.c om x 68.26% 95.46% 99.72% SDx 1− SDx1+ SDx 2− SDx 2+ SDx 3− SDx 3+ Normal curve and distribution
  • 24.
    142.5 3 145.0 8 147.515 150.0 45 152.5 90 155.0 155 157.5 194 160.0(M) 195 162.5 136 165.0 93 167.5 42 170.0 16 172.5 6 175.0-177.5 2 Mean – 160.0 SD – 5cm Height in cm frequency of each group frequency with in height limits of Mean ±1SD 680 68% Mean ±2SD 950 95% Mean ±3SD 995 99% www.indiande ntalacademy.c om
  • 25.
    www.indiande ntalacademy.c om Relative or standardnormal deviate or variate – (Z) Is the deviation from the mean in a normal distribution or curve -in standard normal curve the mean is taken as zero & SD as unity of one SD xx SD Z − == mean-nobservatio
  • 26.
    www.indiande ntalacademy.c om Skewness Skewness – asthe static to measure the asymmetry coefficient of skewness is 0 Bimodal Negatively (left) skewed Positively (right) skewed
  • 27.
    www.indiande ntalacademy.c om kurtosis Kurtosis – isa measure of height of the distribution curve Coefficient of kurtosis is 3 Mesokurtic (normal) Platykurtic (flat) Leptokurtic(high)
  • 28.
    www.indiande ntalacademy.c om Tests of significance Population isany finite collection of elements I.e – individuals, items, observations etc,. Statistic – is a quantity describing a sample, namely a function of observations Parameter –  is a constant describing a population Sample – is a part or subset of the population
  • 29.
  • 30.
    www.indiande ntalacademy.c om Hypothesis testing Hypothesis is anassumption about the status of a phenomenon or is a statement about the parameters or form of population 0H H Null hypothesis or hypothesis of no difference – States no difference between statistic of a sample & parameter of population or b/n statistics of two samples This nullifies the claim that the experiment result is different from or better than the one observed already Denoted by
  • 31.
    www.indiande ntalacademy.c om Alternate hypothesis – Anyhypothesis alternate to null hypothesis, which is to be tested Denoted by 1H Note : the alternate hypothesis is accepted when null hypothesis is rejected
  • 32.
    www.indiande ntalacademy.c om Type I &type II errors Type I error = Type II error = No errorType II erroris true Type I errorNo erroris true AcceptAccept 0H 1H 1H 0H α β When primary concern of the test is to see whether the null hypothesis can be rejected such test is called Test of significance
  • 33.
    www.indiande ntalacademy.c om The probability ofcommitting type I error is called “P” value Thus p-value is the chance that the presence of difference is concluded when actually there is none α Type I error – important- fixed in advance at a low level – such upper limit of tolerance of the chance of type I error is called Level of Significance ( ) Thus α is the maximum tolerable probability of type I error
  • 34.
    www.indiande ntalacademy.c om Difference b/n levelof significance & P- value - LOS P-value 1) Maximum tolerable chance of type I error 1) Actual probability of type I error 2) α is fixed in advance 2) calculated on basis of data following procedures The P-value can be more than α or less than α depending on data When P-value is < than α  results is statistically significant
  • 35.
    www.indiande ntalacademy.c om The level ofsignificance is usually fixed at 5% (0.05) or 1% (0.01) or 0.1% (0.001) or 0.5% (0.005) Maximum desirable is 5% level When P-value is b/n 0.05-0.01 = statistically significant < than 0.01= highly statistically significant Lower than 0.001 or 0.005 = very highly significant
  • 36.
    www.indiande ntalacademy.c om 1/2α 1/2 α Zone of RejectionH0 Zone of Rejection H0 Zone of Acceptance H0 SDx 96.1+SDx 96.1− x Sampling Distribution Confidence limits – 95% Confidence interval
  • 37.
    www.indiande ntalacademy.c om Tests of significance Are mathematical methods by which the probability (P) or relative frequency of an observed difference, occurring by chance is found  Steps & procedure of test of significance – 1. State null hypothesis 2. State alternate hypothesis 3. Selection of the appropriate test to be utilized & calculation of test criterion based on type of test 0H 1H
  • 38.
    www.indiande ntalacademy.c om 4. Fixation oflevel of significance 5. Select the table & compare the calculated value with the critical value of the table 6. If calculated value is > table value, is rejected 7. If calculated value is < table value, is accepted 8. Draw conclusions 0H 0H
  • 39.
    TESTS IN TESTOF SIGNIFICANCE Parametric (normal distribution & Normal curve ) Non-parametric (not follow normal distribution) Quantitative data Qualitative data Student ‘t’ test 1) Paired 2) Unpaired Z test (for large samples) One way ANOVA Two way ANOVA 1) Z – prop testQualitative (quantitative converted to qualitative ) 1. Mann Whitney U test 2. Wilcoxon rank test 3. Kruskal wallis test 4. Spearman test www.indiande ntalacademy.c om
  • 40.
    www.indiande ntalacademy.c om Parametric Uses Non-parametric Pairedt test Test of diff b/n Paired observation Wilcoxon signed rank test Two sample t test Comparison of two groups Wilcoxon rank sum test Mann Whitney U test Kendall’s s test One way Anova Comparison of several groups Kruskal wallis test Two way Anova Comparison of groups values on two variables Friedmann test Correlation coefficient Measure of association B/n two variable Spearman’s rank Correlation Kendall’s rank correlation Normal test (Z test ) Chi square test
  • 41.
    www.indiande ntalacademy.c om Student ‘t’ test Smallsamples do not follow normal distribution as the large ones do => will not give correct results Prof W.S.Gossett – Student‘t’ test – pen name – student It is the ratio of observed difference b/n two mean of small samples to the SE of difference in the same
  • 42.
    www.indiande ntalacademy.c om Actually, t-value Z-value of large samples, but the probability (P) of this is determined by reference ‘t’ table Degree of freedom (df)- is the quantity in the denominator which is one less than independent number of observations in a sample For unpaired ‘t’ test = For paired ‘t’ test = n-1 221 −+ nn Types Unpaired ‘t’ test Paired ‘t’ test
  • 43.
    www.indiande ntalacademy.c om  Criteria forapplying ‘t’ test –  Random samples  Quantitative data  Variable follow normal distribution  Sample size less than 30  Application of ‘t’ test – 1. Two means of small independent sample 2. Sample mean and population mean 3. Two proportions of small independent samples
  • 44.
    www.indiande ntalacademy.c om Unpaired ‘t’ test I)Difference b/n means of two independent samples Group 1 Group 2 Sample size Mean SD 1n 2n 1x 2x 1SD 2SD ( ) 0210 =−⇒ xxH ( ) 0211 ≠−⇒ xxH 1) Null hypothesis 2) Alternate hypothesis Data –
  • 45.
    www.indiande ntalacademy.c om 3) Test criterion ()21 21 xxSE xx t − − = ( ) bycalculatedisofhere 21 xxSE − ( )       +=− 21 21 11 of nn SDxxSE ( ) ( ) 2 11 where 21 2 22 2 11 −+ −+− = nn SDnSDn SD ( ) ( ) ( )       + −+ −+− =− 2121 2 22 2 11 21 11 2 11 nnnn SDnSDn xxSE
  • 46.
    www.indiande ntalacademy.c om 4) Calculate degreeof freedom ( ) ( ) 111 2121 −+=−+−= nnnndf 6) Draw conclusions 5) Compare the calculated value & the table value
  • 47.
    www.indiande ntalacademy.c om Example – differenceb/n caries experience of high & low socioeconomic group Sl no Details High socio economic group Low socio economic group I Sample size II DMFT III Standard deviation 151 =n 102 =n 91.21 =x 26.22 =x 27.01 =SD 22.02 =SD ( ) 23,34.6 1027.0 65.0 21 21 === − − = df xxSE xx t 001.0001.0 76.3 ttt c >∴= There is a significant difference
  • 48.
  • 49.
    www.indiande ntalacademy.c om Other applications II) Differenceb/n sample mean & population mean n SDSE x t = − = µ 1−= ndf       + − = 21 21 11 nn PQ pp t 21 2211 where nn pnpn P + + = PQ −=1 221 −+= nndf III) Difference b/n two sample proportions
  • 50.
    www.indiande ntalacademy.c om Paired ‘t’ test Is applied to paired data of observations from one sample only when each individual gives a paired of observations  Here the pair of observations are correlated and not independent, so for application of ‘t’ test following procedure is used- 1. Find the difference for each pair 2. Calculate the mean of the difference (x) ie 3. Calculate the SD of the differences & later SE xyy =− 21 x       = n SD SE
  • 51.
    www.indiande ntalacademy.c om 4. Test criterion () ( ) n xSD x dSE x t = − = 0 1−= ndf 7. Draw conclusions 6. Refer ‘t’ table & find the probability of calculated value 5. Degree of freedom
  • 52.
    www.indiande ntalacademy.c om Example – tofind out if there is any significant improvement in DAI scores before and after orthodontic treatment Sl no DAI before DAI after Difference Squares 1 30 24 6 36 2 26 23 3 9 3 27 24 3 9 4 35 25 10 100 5 25 23 2 4 Total 20 158
  • 53.
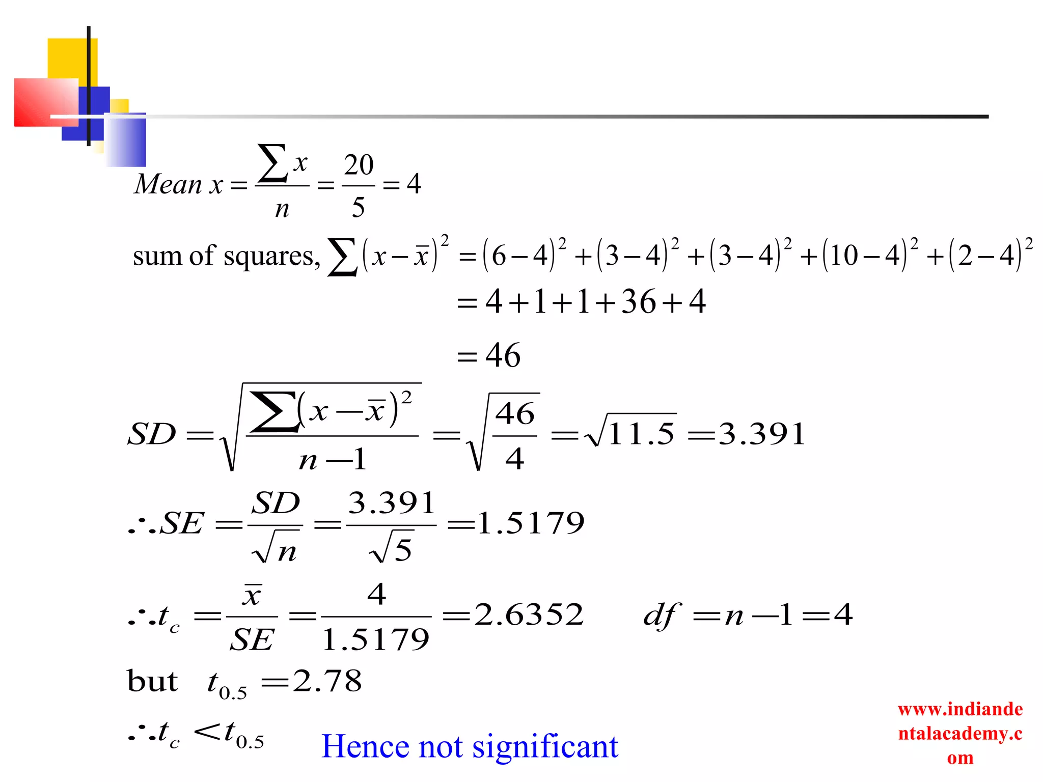
    www.indiande ntalacademy.c om ( ) () ( ) ( ) ( ) ( )222222 42410434346squares,ofsum 4 5 20 −+−+−+−+−=− === ∑ ∑ xx n x xMean 46 436114 = ++++= ( ) 78.2but 416352.2 5179.1 4 5179.1 5 391.3 391.35.11 4 46 1 5.0 5.0 2 tt t ndf SE x t n SD SE n xx SD c c <∴ = =−====∴ ===∴ === − − = ∑ Hence not significant
  • 54.
    www.indiande ntalacademy.c om Z test (Normaltest) Similar to ‘t’ test in all aspect except that the sample size should be > 30 In case of normal distribution, the tabulated value of Z at - 960.1level%5 05.0 == Z 576.2level%1 01.0 == Z 290.3level%1.0 001.0 == Z
  • 55.
    www.indiande ntalacademy.c om  Z testcan be used for – 1. Comparison of means of two samples –       += 2 2 2 1 2 1 n SD n SD ( )21 21 xxSE xx Z − − = ( ) ( )2 2 2 121where SESExxSE +=− n SD x Z 2 µ− = 2. Comparison of sample mean & population mean
  • 56.
    www.indiande ntalacademy.c om 3. Difference b/ntwo sample proportions 21 2211 21 21 herew 11 nn pnpn P nn PQ pp Z + + =             + − = PQ −=1             − = n PQ Pp Z 1 Where p = sample proportion P = populn proportion 4. Comparison of sample proportion (or percentage) with population proportion (or percentage)
  • 57.
    www.indiande ntalacademy.c om Analysis of variance(ANOVA)  Useful for comparison of means of several groups  Is an extension of student’s ‘t’ test for more than two groups  R A Fisher in 1920’s  Has four models 1. One way classification (one way ANOVA ) 2. Single factor repeated measures design 3. Nested or hierarchical design 4. Two way classification (two way ANOVA)
  • 58.
    www.indiande ntalacademy.c om One way ANOVA Canbe used to compare like- Effect of different treatment modalities Effect of different obturation techniques on the apical seal , etc,.
  • 59.
    www.indiande ntalacademy.c om Groups (or treatments)1 2 i k Individual values Calculate No of observations Sum of x values Sum of squares Mean of values 11x 2ix22x nx2nx1 12x 1kx1ix21x inx 2kx knx n n n n nxxx 11211 ...+++=1Τ 2T iT kT ( ) ( ) ( )2 1 2 12 2 11 .. nxxx +++=1S 2S iS kS n T x 1 1 = 2x ix kx
  • 60.
    www.indiande ntalacademy.c om ANOVA table Sl no Source of variation Degree of freedom Sum ofsquares Mean sum of squares F ratio or variance ratio I Between Groups II With in groups III Total 1−k kn − 1−n ( )       −=− ∑∑ i ii i N T xxx 2 22 ( ) ∑∑ ∑∑ ∑ −=− i i i i j iji j iij n T xxx 2 22 ( )       −=− ∑ ∑∑ ∑ N T xxx i j iji j ij 2 22 ( ) 1 2 2 − − = ∑ k xx S i i B kN n T x S i j i i i ij W −       − = ∑ ∑ ∑ 2 2 2 1 22 2 − − = ∑ ∑ N N Tx S i j ij T ( )kNk S S W B −− ,12 2
  • 61.
  • 62.
    www.indiande ntalacademy.c om Example- see whetherthere is a difference in number of patients seen in a given period by practitioners in three group practice Practice A B C Individual values 268 387 161 349 264 346 328 423 324 209 254 293 292 239 Calculate No of observations (n) 5 4 5 Sum of x values 1441 1328 1363 Sum of squares 426899 462910 393583 Mean of values 288.2 332.0 272.6
  • 63.
    www.indiande ntalacademy.c om ( ) 71.63861 2 222 = ++ ++ −++= ∑∑ CBA CBA CBA nnn xxx xxx ( )( ) ( ) ( ) 71.8215 2222 = ++ ++ −++= ∑ ∑∑∑∑∑ CBA CBA C C B B A A nnn xxx n x n x n x 55646.0 SSbetween-SStotal = = Between group sum of squares Total sum of squares With in group sum of squares
  • 64.
    www.indiande ntalacademy.c om ANOVA table Sl no Source of variation Degreeof freedom Sum of squares Mean sum of squares F ratio or variance ratio I Between Groups II With in groups III Total 213 =− 11314 =− 13114 =− 71.8215 71.63861 55646.0 86.4107 2 71.8215 = 73.5088 11 55646 = 81.0 73.5088 86.4107 = ( )11,298.381.0 05.0 === dfFF Because FC < FT , there is no significant difference in the number of patients attending 3 different practice
  • 65.
    www.indiande ntalacademy.c om Further, any particularpair of treatments can be compared using SE of difference b/n two means Eg – cd xx & ( ) criteriontestt'' usingbytestedbemaydifference& 11 cd cd cd xx nn MSExxSE −       +=− ( )cd cd xxSE xx t − − =
  • 66.
    www.indiande ntalacademy.c om Two way ANOVA Isused to study the impact of two factors on variations in a specific variable Eg – Effect of age and sex on DMFT value
  • 67.
    Sample values blocks Treatmentssample size Total Mean value i ii .. n Sample size Total Mean value 11x 32x22x nx2nx1 12x 1kx31x21x nx3 2kx knx n n n n k k k Nnk = 2T nT 1T 1T 2T kT3T T 2x 1x kx3x2x1x nx xwww.indiande ntalacademy.c om
  • 68.
    www.indiande ntalacademy.c om Sl no Source Sum of squares Degreeof freedom Mean sum of squares (MSS) Variance ratio F I Blocks II Treatments III Residual or error IV Total 2 way ANOVA table 1−n 1−k ( )( )11 −− kn ( ) 11 −=− Nnk 1 blocks − = n SS MS blocks 1− = k SS MS treatments treatments ( )( )11 −− = kn SS MS residual residual residual blocks MS MS F =1 residual treatment MS MS F =2 ( ) ( )( )11Vs1ofwithblocksofratiovariance1 −−−= knndfF ( ) ( )( )11Vs1ofwiths'treatmentofratiovariance2 −−−= knkdfF blocksSS treatmentsSS residualSS totalSS
  • 69.
    www.indiande ntalacademy.c om Multiple comparison tests 1.Fisher’s procedure – student’s ‘t’ test 2. Least significant difference method (LSD)  Just like student’s ‘t’ test  To test significant difference b/n two groups or variable means 1. Scheffe’s significant difference procedure  Is applicable when groups having heterogeneous variance or variations 1. Tukey’s method  For comparison of the differences b/n all possible pairs of treatments or group means
  • 70.
    www.indiande ntalacademy.c om 5. Duncan’s multiplecomparison test – For all comparisons of paired groups only 6. Dunnet’s comparison test procedure – For comparison of one control and several treatment groups
  • 71.
    www.indiande ntalacademy.c om Non parametric tests Herethe distribution do not require any specific pattern of distribution. They are applicable to almost all kinds of distribution Chi square test Mann Whitney U test Wilcoxon signed rank test Wilcoxon rank sum test Kendall’s S test Kruskal wallis test Spearman’s rank correlation
  • 72.
    www.indiande ntalacademy.c om Chi square test By Karl Pearson & denoted as χ²  Application 1. Alternate test to find the significance of difference in two or more than two proportions 2. As a test of association b/n two events in binomial or multinomial samples 3. As a test of goodness of fit
  • 73.
    www.indiande ntalacademy.c om Requirement to applychi square test Random samples Qualitative data Lowest observed frequency not less than 5 Contingency table Frequency table where sample classified according to two different attributes 2 rows ; 2 columns => 2 X 2 contingency table r rows : c columns => rXc contingency table ( ) ∑ − = E EO 2 2 χ O – observed frequency E – expected frequency
  • 74.
    www.indiande ntalacademy.c om  Steps 1. Statenull & alternate hypothesis 2. Make contingency table of the data 3. Determine expected frequency by 4. Calculate chi-square of each by- ( )cr × ( )frequencytotalN cr E × = ( ) E EO 2 2 − =χ
  • 75.
    www.indiande ntalacademy.c om 5. calculate degreeof freedom 6. Sum all the chi-square of each cell – this gives chi-square value of the data 7. Compare the calculated value with the table value at any LOS 8. Draw conclusions ( ) ∑ − = E EO 2 2 χ ( )( )11 −−= rcdf
  • 76.
    www.indiande ntalacademy.c om Example from adental health campaign School Oral hygiene Total G F+ F- P Below avg 62 (85.9) 103 (93.0) 57 (45.2) 11 (8.9) 233 Avg 50 (43.9) 36 (47.5) 26 (23.1) 7 (4.6) 119 Above avg 80 (62.3) 69 (67.5) 18 (32.8) 2 (6.5) 169 Total 192 208 101 20 521 ( )frequencytotalN cr E × = ( )( ) 63211 =×=−−= rcdf ( ) 4.31 2 2 = − = ∑ E EO cχ 22.46is0.001PatTable 2 =tχ Hence significant difference
  • 77.
  • 78.
    www.indiande ntalacademy.c om Alternate formulae If wehave contingency table ( ) ( )( )( )( ) 1with 2 2 = ++++ − = df dbcadcba bcadN χ ( )( )( )( ) 1with 2 2 2 = ++++       −− = df dbcadcba N bcadN χ a b a+b c d c+d a+c b+d a+b+c+d=N If one of the value is below 5 => Yate’s correction formula
  • 79.
    www.indiande ntalacademy.c om If the tableis larger than 2X2, Yate’s correction cannot be applied – then the small frequency (<5) can be pooled or combined with next group or class in the table Chi square test only tells the presence or absence of association, but does not measure the strength of association
  • 80.
    www.indiande ntalacademy.c om  If degreeof association as to be calculated then – 1. Yule’s coefficient of association bcad bcad Q + − = ad bc ad bc Y + − = 1 1 ( )( )( )( )dcdbcaba bcad V ++++ − = 2 2 χ χ + = N C 4. Pearson’s coefficient of contingency 3. - 2. Yule’s coefficient of colligation
  • 81.
    www.indiande ntalacademy.c om Wilcoxon signed ranktest Is equivalent to paired ‘t’ test Steps Exclude any differences which are zero Put the remaining differences in ascending order, ignoring the signs Gives ranks from lowest to highest If any differences are equal, then average their ranks Count all the ranks of positive differences – T+ Count all the ranks of negative differences – T-
  • 82.
    www.indiande ntalacademy.c om If there isno differences b/n variables then T+ & T_ will be similar, but if there is difference then one sum will be large and the other will be much smaller T= smaller of T+&T_ Compare the T value with the critical value for 5%, 2% & 1% significance level A result is significant if it is smaller than critical value
  • 83.
    www.indiande ntalacademy.c om Example:Results of aplacebo-controlled clinical trail to test the effectiveness of sleeping drug Patients Sleep hrs Drug Placebo 1 6.1 5.2 2 7.0 7.9 3 8.2 3.9 4 7.6 4.7 5 6.5 5.3 6 8.4 5.4 7 6.9 4.2 8 6.7 6.1 9 7.4 3.8 10 5.8 6.3 Difference 0.9 -0.9 4.3 2.9 1.2 3.0 2.7 0.6 3.6 -0.5 Rank with signs + - 3.5 - - -3.5 10 - 7 - 5 - 8 - 6 - 2 - 9 - - -1 50.5 -4.5
  • 84.
    www.indiande ntalacademy.c om Calculated T=-4.5 df=10, Table value at 5% (n=10)= 8 Cal T< table value, H0 is rejected We conclude that sleeping drug is more effective than the placebo
  • 85.
    www.indiande ntalacademy.c om Mann Whitney Utest Is used to determine whether two independent sample have been drawn from same sample It is a alternative to student ‘t’ test & requires at least ordinal or normal measurement ( ) 21 11 21 2 1 RorR nn nnU − + += Where, n1n2 are sample sizes R1 R2 are sum of ranks assigned to I & II group
  • 86.
    www.indiande ntalacademy.c om All the observationin two samples are ranked numerically from smallest to largest without regarding the groups Procedure Then identify the observation for I and II samples Sum of ranks for I and II sample determined separately Take difference of two sum T =R1 - R2
  • 87.
    www.indiande ntalacademy.c om Comparison of birthweights of children born to 15 non smokers with those of children born to 14 heavy smokers NS 3.9 3.7 3.6 3.7 3.2 4.2 4.0 3.6 3.8 3.3 4.1 3.2 3.5 3.5 2.7 HS 3.1 2.8 2.9 3.2 3.8 3.5 3.2 2.7 3.6 3.7 3.6 2.3 2.3 3.6 R1 26 23 16 21 8 29 27 17 24 12 28 10 15 13 03 R2 7 5 6 11 25 14 9 4 20 22 19 2 1 18 Ranks assignments
  • 88.
    www.indiande ntalacademy.c om Sum of R1=272 and Sum of R2=163 Difference T=R1 – R2 is 109 The table value of T0.05 is 96 , so reject the H0 We conclude that weights of children born to the heavy smokers are significantly lower than those of the children born to the non-smokers (p<0.05)
  • 89.
  • 90.
  • 91.
  • 92.
    www.indiande ntalacademy.c om Interested in relationship b/ntwo variables Are both continuous variablesUse linear regression Is one variable continuous & other categorical Use analysis of variance Or Logistic regression Both variables categorical Use contingency table analysis Two variable problem Yes No Yes No
  • 93.
    www.indiande ntalacademy.c om Research interested inrelationship B/n more than two variables Use multiple regression Or Multivariate analysis Multiple – variable problem
  • 94.
    www.indiande ntalacademy.c om Conclusion Statistics are excellenttools in research data analysis; how ever, if inappropriately used they may make the results of a well conducted research study un-interpretable or meaningless
  • 95.
  • 96.