International Journal of Wireless & Mobile Networks (IJWMN) Vol. 11, No. 4, August 2019
DOI: 10.5121/ijwmn.2019.11402 13
STUDY OF ARRAY BI-CONICAL ANTENNA FOR
DME APPLICATIONS
Ouadiaa BARROU1
, Abdelkebir EL AMRI2
and Abdelati REHA3
1
RITM Laboratory, CED Engineering Sciences, ESTC, Hassan II University of
Casablanca, Morocco
2
RITM Laboratory, CED Engineering Sciences, ESTC, Hassan II University of
Casablanca, Morocco
3
Laboratoire d'Innovation en Management et en Ingénierie pour l'Entreprise (LIMIE)
ISGA
ABSTRACT
This paper introduces a new configuration of array bi-conical antenna to enhance the gain of an antenna
for Distance Measuring Equipment (DME) avionic system. Due to its large size, the antenna can be
placed in terrestrials DME stations. The antenna consists of the bi-conical elements placed in a linear
configuration. The simulated maximum gain is 10.2dB, the antenna operates in the DME band (960 –
1215 MHz). Al the simulations are performed with CADFEKO a Method of Moments based Solver.
KEYWORDS
DME, Array antennas, Bi-conical Antennas
1. INTRODUCTION
Distance Measuring Equipment (DME) is a Radio Navigation technology that measures the
slant range (distance) between an aircraft and a ground station by timing the propagation delay
of radio signals in the frequency band between 960 and 1215MHz. Line-of-visibility between
the aircraft and ground station is required. An interrogator (airborne) initiates an exchange by
transmitting a pulse pair, on an assigned ‘channel’, to the transponder ground station. The
channel assignment specifies the carrier frequency and the spacing between the pulses. After a
known delay, the transponder replies by transmitting a pulse pair on a frequency that is offset
from the interrogation frequency by 63 MHz and having specified separation. The DME
consists of two parts, the first one is embedded on the aircraft and the other is installed in
ground stations [1-5]. The design of a DME system encounters several challenges among
which: the development of signal analysis algorithms for signals coming from aircrafts and the
design of antennas with very high gains in order to cover a long range. The purpose of this
paper is the design of an operational array antenna for DME ground stations.
2. DISTANCE MEASURING EQUIPMENT PRESENTATION
DME is an international, standardized navigation system. It allows an aircraft to automatically
measure its physical line of sight distance (in nautical miles) from a selected ground-based
beacon (Figure 1).
DME systems are used throughout the world by all airliners, most military aircraft, and a large
number of general-aviation aircraft. The range of service is most often up to 300 land miles (480
International Journal of Wireless & Mobile Networks (IJWMN) Vol. 11, No. 4, August 2019
14
km). System accuracy is usually 0.1 nautical miles (185 m) but precision equipment, intended
for use during landing, has accuracy up to 100 ft (30 m). The airborne equipment, called an
interrogator, transmits pulses of 1 kW peak power on 1 of 126 frequencies. These frequencies
are in the 1025–1150-MHz band and are spaced 1 MHz apart (Figure 2). Each pulse has a
duration of 3.5 μs and is paired with another, spaced 12 μs (X Mode) or 36 μs (Y Mode) (i.e.
“delayed” by either 12 or 36 μs) (Figure 3).
Figure 1. DME System
Figure 2. Frequency band and channels
Figure 3. The two DME Modes X and Y
The combination of frequencies and pulse spacing therefore provides 252 operating channels in
the system. The beacon equipment on the ground is called a transponder. It receives these
International Journal of Wireless & Mobile Networks (IJWMN) Vol. 11, No. 4, August 2019
15
pulses, delays them by 50μs, and then retransmits them, usually with a power of 1 kW, on 252
frequencies lying between 962 and 1213 MHz. The pulse-pair spacing is 12μs on those
frequencies not used by the interrogator (X Mode), and 36μs on those frequencies shared with
the interrogator (Y Mode) (Figure 3). The transponder transmission is called the reply. The
frequency difference between interrogation and reply is always 63MHz. This arrangement
allows each transmitter frequency to act as the local oscillator for its associated receiver, the
intermediate frequency of which is 63MHz. For landing purposes, some transponders have
powers as low as 100W. In the aircraft the replies to its own interrogations are recognized by
their phase coherence with their own transmissions, and by the elapsed time measured between
transmissions and reception (minus the 50μs transponder delay), usually by means of a crystal
clock. This elapsed time is about 12.36μs for each nautical mile, and the measured distance is
displayed in the cockpit on a digital meter, which is usually calibrated in nautical miles and
tenths of nautical miles (Figure 4). We can find one or more DME system in an airplane [1-5].
Figure 4. DME meter
3. BI-CONICAL ANTENNA ANALYSIS
The bi-conical antennas can be divided into two types according to their cone length (l), one is
infinite length bi-conical antenna, and another is finite one, as illustrated in Figure 5. When the
half-cone angles θ1=θ2, the bi-conical antenna is called symmetrical bi-conical, otherwise the
antenna is asymmetrical bi-conical [6-8].
Figure 5. Infinite length and finite length bi-conical antenna [2-3]
The bi-conical antenna is most readily handled in spherical coordinates. If the dominant fields
are satisfied for a spherical TEM mode condition with respect to the r-direction, the fields Eθ
and Hφ in the infinite bi-conical horn antenna are:
International Journal of Wireless & Mobile Networks (IJWMN) Vol. 11, No. 4, August 2019
16
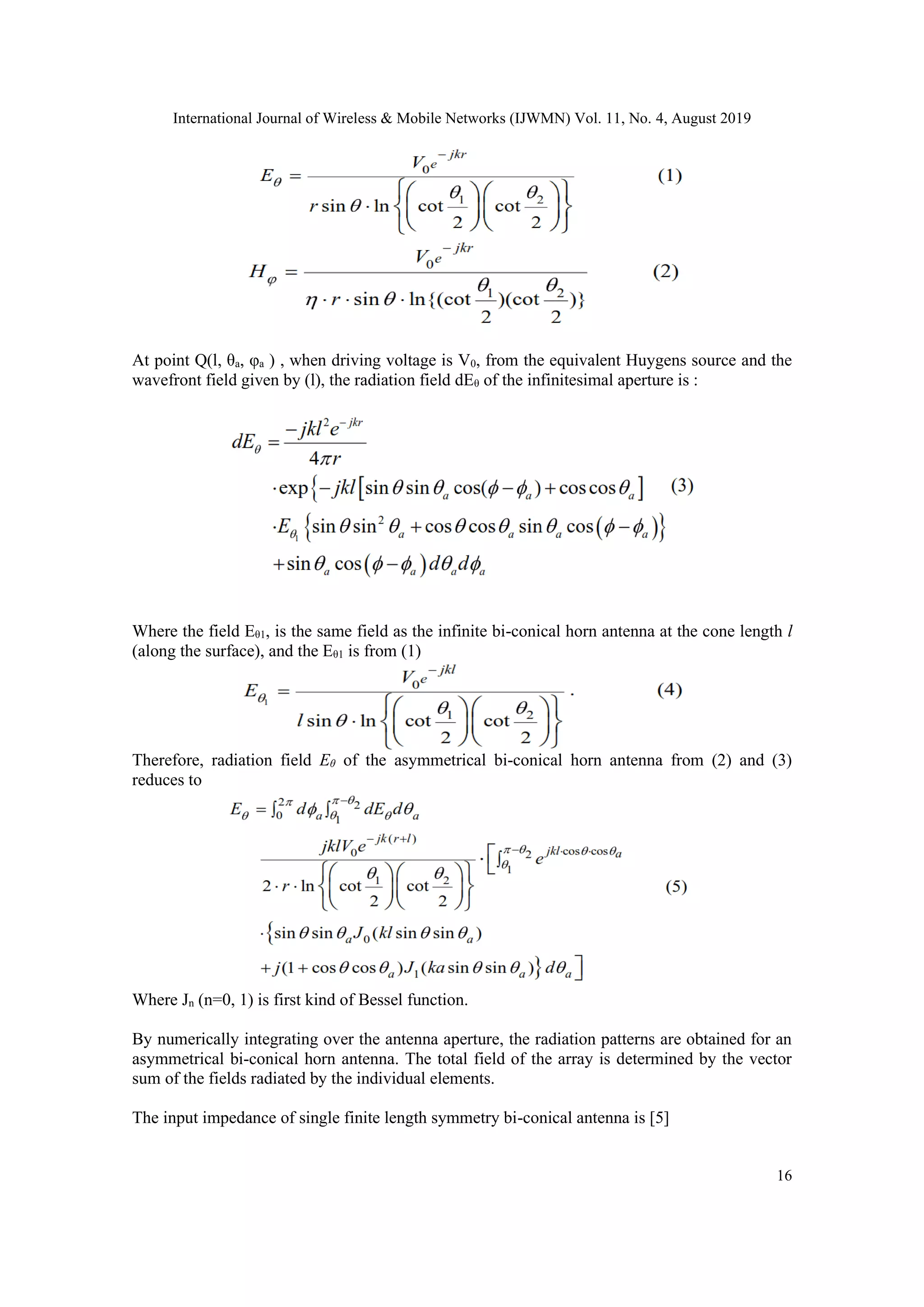
At point Q(l, θa, φa ) , when driving voltage is V0, from the equivalent Huygens source and the
wavefront field given by (l), the radiation field dEθ of the infinitesimal aperture is :
Where the field Eθ1, is the same field as the infinite bi-conical horn antenna at the cone length l
(along the surface), and the Eθ1 is from (1)
Therefore, radiation field Eθ of the asymmetrical bi-conical horn antenna from (2) and (3)
reduces to
Where Jn (n=0, 1) is first kind of Bessel function.
By numerically integrating over the antenna aperture, the radiation patterns are obtained for an
asymmetrical bi-conical horn antenna. The total field of the array is determined by the vector
sum of the fields radiated by the individual elements.
The input impedance of single finite length symmetry bi-conical antenna is [5]
International Journal of Wireless & Mobile Networks (IJWMN) Vol. 11, No. 4, August 2019
17
In addition, the input impedance of single finite length asymmetry bi-conical antenna is [5]
Where η is transmission medium impedance, and when medium is free space,
η=367.7Ω≈120πΩ.
The total antenna array impedance at a driving point is the parallel combination of terminal
impedances as described in (7).
Where N is the number of bi-conical linear array element. All the impedance in this paper is set
according to (8).
4. DESIGN OF LINEAR ARRAY BI-CONICAL ANTENNA
4.1. The single element bi-conical antenna
As shown in figure 6, the single element bi-conical antenna is composed of two cones each one
have a height (H) and a radius (R). (Figure 6). After design and optimisation with CADFEKO a
Method of Moments (MoM) based solver [14], the values of H=44mm and R=15mm. As shown
in figure 7, the antenna operates in the band of 960-1215MHz which can make it an adequate
solution for the DME system. But as show in figure 7(b), the gain is not big enough.
Figure 6. The geometry of single bi-conical antenna
International Journal of Wireless & Mobile Networks (IJWMN) Vol. 11, No. 4, August 2019
18
(a) S11 parameter (b) 3D gain pattern
Figure 7. The Simulated S11 parameter (a) and the simulated 3D gain pattern of single bi-conical antenna
(b)
4.2. Two elements bi-conical antenna
After optimisation with CADFEKO, the two elements of bi-conical antenna is composed of two
bi-conical elements separated by D=0.75*λ=204mm (λ for the resonance frequency f=1.07GHz)
(Figure 8). Figure 9 shows the S11 and S21 parameters versus frequencies, the antenna operates
in the band of 960-1215MHz which can make it an adequate solution for the DME system. The
S22 and S12 parameters are respectively the same as the S11 and S21 parameters. We observe that
the gain increases from 2dB to 2.9dB.
Figure 8. The geometry of two elements bi-conical antenna
(a) S11 parameter (b) 3D gain pattern
Figure 9. The Simulated S11 parameter (a) and the simulated 3D gain pattern of two elements bi-conical
antenna (b)
International Journal of Wireless & Mobile Networks (IJWMN) Vol. 11, No. 4, August 2019
19
4.3. Four, eight and ten elements bi-conical antenna
When we increase the number of elements, we observe that the gain increases. For the four,
eight and ten elements antenna the maximum gains are respectively 6.2 dB, 9.3 dB and 10.2 dB.
The main lobe becomes very narrow so the antenna becomes more directive (figure 10).
(a) Four elements (b) Eight elements (c) Ten elements
Figure 10. The simulated 3D gain pattern of four (a), eight (b) and ten (c) elements bi-conical antenna at
the resonance frequency (1.07GHz)
5. COMPARISON WITH OTHER WORKS
The comparison with the results found by Qiuyuan Pang and Yude Ni [6][11] shows that this
configuration allows to obtain a higher gain 10.2 dB for 10 elements versus 9.38 dB for the
same number of elements. The difference between the two works is: in [6][11], the ten elements
are place as shown in figure 11(a), but in our work these elements are placed as shown in figure
11(b).
(a) Qiuyuan Pang work [6][11] (b) our work
Figure 11. The comparison between Qiuyuan Pang work (a) and our work (b)
In 2014, Amna Ikram et Al, studied a Low Profile Aircraft Antenna with gains less than 4dB
[9]. Mabrouk designed an inverted L-shaped antenna with omni directional gain pattern and the
gain that varies between 2 and 5dB [12].
In 2016, Icev has studied the state of the art of embedded antennas on aircrafts. All the studied
antennas are miniaturized and have the maximum gains varied between 17 and 80 dB [10].
Bhavya designed a Conformal Printed sleeve dipole antenna operating in 800MHz to 3000MHz
with gains between 0.4 and 2.26dB [13].
International Journal of Wireless & Mobile Networks (IJWMN) Vol. 11, No. 4, August 2019
20
6. CONCLUSION
A new configuration of array bi-conical antenna to enhance the gain of an antenna for DME
avionic system has been studied. The antenna operates in the DME band (960 – 1215 MHz), the
simulated maximum gain reaches the value of 10.2 dB. Due to its large size, the antenna can be
placed in terrestrials DME stations.
In the next work, fabrication and measurement should be done to confirm the simulated results.
Also, more refinements should be done to enhance the gain of the antenna.
REFERENCES
[1] Federal Aviation Administration, Pilot’s Handbook of Aeronautical Knowledge, FAA, U.S.
Department of Transportation , 2016
[2] Annex 10 to the Convention on International Civil Aviation, Volume I — Radio Navigation Aids;
International Civil Aviation Organization; International Standards and Recommended Practices,
www (.) icao (.) int
[3] Borje Forssell, Radionavigation Systems, Artech House Publishers, february 2008
[4] Federal Aviation Administration, Aeronautical Chart User's Guide, Skyhorse, 2017
[5] Cary Spitzer et Al, Digital Avionics Handbook, CRC Press, 2014
[6] Qiuyuan Pang and Yude Ni, Design and Radiation Characteristics Analysis of DME Beacon
Antenna, Communications in Information Science and Management Engineering (CISME) Vol. 2
Iss. 4 2012 PP. 49-52
[7] Warren L. Stutzman, Gary A, Antenna Theory and Design, John Wiley & Sons, 2012
[8] C.Balanis, Antenna Theory: Analysis and Design, Wiley-Interscience; 2005
[9] Amna Ikram, Jean-Jacques Laurin, On the Increase of the Directivity of a Low Profile Aircraft
Antenna, The 8th European Conference on Antennas and Propagation, 2014
[10] Ilcev St. D, Airborne Satellite Navigation and Other Integrated Antenna Systems, International
Conference on Electrical, Electronics, and Optimization Techniques (ICEEOT), 2016
[11] Yude Ni, Qiuyuan Pang, Zongping Lv, Far Field Radiation Characteristics of Linear Biconical
Antenna Array, 2nd International Conference on Artificial Intelligence, Management Science and
Electronic Commerce (AIMSEC), August 2011
[12] A Mabrook Masoud, Su Donglin, A novel wide-band airborne UHF antenna, IEEE Workshop on
Electronics, Computer and Applications, June 2014.
[13] P. Bhavya et Al, Design and Development of a Conformal Printed sleeve dipole antenna operating
in 800MHz to 3000MHz, Indian Journal of Science and Technology, December 2016
[14] Atef Z. Elsherbeni, Payam Nayeri, C.J. Reddy, Antenna Analysis and Design using FEKO
Electromagnetic Simulation Software, The ACES Series on Computational Electromagnetics and
Engineering (CEME), SciTech Publishing, 2014

STUDY OF ARRAY BI-CONICAL ANTENNA FOR DME APPLICATIONS

  • 1.
    International Journal ofWireless & Mobile Networks (IJWMN) Vol. 11, No. 4, August 2019 DOI: 10.5121/ijwmn.2019.11402 13 STUDY OF ARRAY BI-CONICAL ANTENNA FOR DME APPLICATIONS Ouadiaa BARROU1 , Abdelkebir EL AMRI2 and Abdelati REHA3 1 RITM Laboratory, CED Engineering Sciences, ESTC, Hassan II University of Casablanca, Morocco 2 RITM Laboratory, CED Engineering Sciences, ESTC, Hassan II University of Casablanca, Morocco 3 Laboratoire d'Innovation en Management et en Ingénierie pour l'Entreprise (LIMIE) ISGA ABSTRACT This paper introduces a new configuration of array bi-conical antenna to enhance the gain of an antenna for Distance Measuring Equipment (DME) avionic system. Due to its large size, the antenna can be placed in terrestrials DME stations. The antenna consists of the bi-conical elements placed in a linear configuration. The simulated maximum gain is 10.2dB, the antenna operates in the DME band (960 – 1215 MHz). Al the simulations are performed with CADFEKO a Method of Moments based Solver. KEYWORDS DME, Array antennas, Bi-conical Antennas 1. INTRODUCTION Distance Measuring Equipment (DME) is a Radio Navigation technology that measures the slant range (distance) between an aircraft and a ground station by timing the propagation delay of radio signals in the frequency band between 960 and 1215MHz. Line-of-visibility between the aircraft and ground station is required. An interrogator (airborne) initiates an exchange by transmitting a pulse pair, on an assigned ‘channel’, to the transponder ground station. The channel assignment specifies the carrier frequency and the spacing between the pulses. After a known delay, the transponder replies by transmitting a pulse pair on a frequency that is offset from the interrogation frequency by 63 MHz and having specified separation. The DME consists of two parts, the first one is embedded on the aircraft and the other is installed in ground stations [1-5]. The design of a DME system encounters several challenges among which: the development of signal analysis algorithms for signals coming from aircrafts and the design of antennas with very high gains in order to cover a long range. The purpose of this paper is the design of an operational array antenna for DME ground stations. 2. DISTANCE MEASURING EQUIPMENT PRESENTATION DME is an international, standardized navigation system. It allows an aircraft to automatically measure its physical line of sight distance (in nautical miles) from a selected ground-based beacon (Figure 1). DME systems are used throughout the world by all airliners, most military aircraft, and a large number of general-aviation aircraft. The range of service is most often up to 300 land miles (480
  • 2.
    International Journal ofWireless & Mobile Networks (IJWMN) Vol. 11, No. 4, August 2019 14 km). System accuracy is usually 0.1 nautical miles (185 m) but precision equipment, intended for use during landing, has accuracy up to 100 ft (30 m). The airborne equipment, called an interrogator, transmits pulses of 1 kW peak power on 1 of 126 frequencies. These frequencies are in the 1025–1150-MHz band and are spaced 1 MHz apart (Figure 2). Each pulse has a duration of 3.5 μs and is paired with another, spaced 12 μs (X Mode) or 36 μs (Y Mode) (i.e. “delayed” by either 12 or 36 μs) (Figure 3). Figure 1. DME System Figure 2. Frequency band and channels Figure 3. The two DME Modes X and Y The combination of frequencies and pulse spacing therefore provides 252 operating channels in the system. The beacon equipment on the ground is called a transponder. It receives these
  • 3.
    International Journal ofWireless & Mobile Networks (IJWMN) Vol. 11, No. 4, August 2019 15 pulses, delays them by 50μs, and then retransmits them, usually with a power of 1 kW, on 252 frequencies lying between 962 and 1213 MHz. The pulse-pair spacing is 12μs on those frequencies not used by the interrogator (X Mode), and 36μs on those frequencies shared with the interrogator (Y Mode) (Figure 3). The transponder transmission is called the reply. The frequency difference between interrogation and reply is always 63MHz. This arrangement allows each transmitter frequency to act as the local oscillator for its associated receiver, the intermediate frequency of which is 63MHz. For landing purposes, some transponders have powers as low as 100W. In the aircraft the replies to its own interrogations are recognized by their phase coherence with their own transmissions, and by the elapsed time measured between transmissions and reception (minus the 50μs transponder delay), usually by means of a crystal clock. This elapsed time is about 12.36μs for each nautical mile, and the measured distance is displayed in the cockpit on a digital meter, which is usually calibrated in nautical miles and tenths of nautical miles (Figure 4). We can find one or more DME system in an airplane [1-5]. Figure 4. DME meter 3. BI-CONICAL ANTENNA ANALYSIS The bi-conical antennas can be divided into two types according to their cone length (l), one is infinite length bi-conical antenna, and another is finite one, as illustrated in Figure 5. When the half-cone angles θ1=θ2, the bi-conical antenna is called symmetrical bi-conical, otherwise the antenna is asymmetrical bi-conical [6-8]. Figure 5. Infinite length and finite length bi-conical antenna [2-3] The bi-conical antenna is most readily handled in spherical coordinates. If the dominant fields are satisfied for a spherical TEM mode condition with respect to the r-direction, the fields Eθ and Hφ in the infinite bi-conical horn antenna are:
  • 4.
    International Journal ofWireless & Mobile Networks (IJWMN) Vol. 11, No. 4, August 2019 16 At point Q(l, θa, φa ) , when driving voltage is V0, from the equivalent Huygens source and the wavefront field given by (l), the radiation field dEθ of the infinitesimal aperture is : Where the field Eθ1, is the same field as the infinite bi-conical horn antenna at the cone length l (along the surface), and the Eθ1 is from (1) Therefore, radiation field Eθ of the asymmetrical bi-conical horn antenna from (2) and (3) reduces to Where Jn (n=0, 1) is first kind of Bessel function. By numerically integrating over the antenna aperture, the radiation patterns are obtained for an asymmetrical bi-conical horn antenna. The total field of the array is determined by the vector sum of the fields radiated by the individual elements. The input impedance of single finite length symmetry bi-conical antenna is [5]
  • 5.
    International Journal ofWireless & Mobile Networks (IJWMN) Vol. 11, No. 4, August 2019 17 In addition, the input impedance of single finite length asymmetry bi-conical antenna is [5] Where η is transmission medium impedance, and when medium is free space, η=367.7Ω≈120πΩ. The total antenna array impedance at a driving point is the parallel combination of terminal impedances as described in (7). Where N is the number of bi-conical linear array element. All the impedance in this paper is set according to (8). 4. DESIGN OF LINEAR ARRAY BI-CONICAL ANTENNA 4.1. The single element bi-conical antenna As shown in figure 6, the single element bi-conical antenna is composed of two cones each one have a height (H) and a radius (R). (Figure 6). After design and optimisation with CADFEKO a Method of Moments (MoM) based solver [14], the values of H=44mm and R=15mm. As shown in figure 7, the antenna operates in the band of 960-1215MHz which can make it an adequate solution for the DME system. But as show in figure 7(b), the gain is not big enough. Figure 6. The geometry of single bi-conical antenna
  • 6.
    International Journal ofWireless & Mobile Networks (IJWMN) Vol. 11, No. 4, August 2019 18 (a) S11 parameter (b) 3D gain pattern Figure 7. The Simulated S11 parameter (a) and the simulated 3D gain pattern of single bi-conical antenna (b) 4.2. Two elements bi-conical antenna After optimisation with CADFEKO, the two elements of bi-conical antenna is composed of two bi-conical elements separated by D=0.75*λ=204mm (λ for the resonance frequency f=1.07GHz) (Figure 8). Figure 9 shows the S11 and S21 parameters versus frequencies, the antenna operates in the band of 960-1215MHz which can make it an adequate solution for the DME system. The S22 and S12 parameters are respectively the same as the S11 and S21 parameters. We observe that the gain increases from 2dB to 2.9dB. Figure 8. The geometry of two elements bi-conical antenna (a) S11 parameter (b) 3D gain pattern Figure 9. The Simulated S11 parameter (a) and the simulated 3D gain pattern of two elements bi-conical antenna (b)
  • 7.
    International Journal ofWireless & Mobile Networks (IJWMN) Vol. 11, No. 4, August 2019 19 4.3. Four, eight and ten elements bi-conical antenna When we increase the number of elements, we observe that the gain increases. For the four, eight and ten elements antenna the maximum gains are respectively 6.2 dB, 9.3 dB and 10.2 dB. The main lobe becomes very narrow so the antenna becomes more directive (figure 10). (a) Four elements (b) Eight elements (c) Ten elements Figure 10. The simulated 3D gain pattern of four (a), eight (b) and ten (c) elements bi-conical antenna at the resonance frequency (1.07GHz) 5. COMPARISON WITH OTHER WORKS The comparison with the results found by Qiuyuan Pang and Yude Ni [6][11] shows that this configuration allows to obtain a higher gain 10.2 dB for 10 elements versus 9.38 dB for the same number of elements. The difference between the two works is: in [6][11], the ten elements are place as shown in figure 11(a), but in our work these elements are placed as shown in figure 11(b). (a) Qiuyuan Pang work [6][11] (b) our work Figure 11. The comparison between Qiuyuan Pang work (a) and our work (b) In 2014, Amna Ikram et Al, studied a Low Profile Aircraft Antenna with gains less than 4dB [9]. Mabrouk designed an inverted L-shaped antenna with omni directional gain pattern and the gain that varies between 2 and 5dB [12]. In 2016, Icev has studied the state of the art of embedded antennas on aircrafts. All the studied antennas are miniaturized and have the maximum gains varied between 17 and 80 dB [10]. Bhavya designed a Conformal Printed sleeve dipole antenna operating in 800MHz to 3000MHz with gains between 0.4 and 2.26dB [13].
  • 8.
    International Journal ofWireless & Mobile Networks (IJWMN) Vol. 11, No. 4, August 2019 20 6. CONCLUSION A new configuration of array bi-conical antenna to enhance the gain of an antenna for DME avionic system has been studied. The antenna operates in the DME band (960 – 1215 MHz), the simulated maximum gain reaches the value of 10.2 dB. Due to its large size, the antenna can be placed in terrestrials DME stations. In the next work, fabrication and measurement should be done to confirm the simulated results. Also, more refinements should be done to enhance the gain of the antenna. REFERENCES [1] Federal Aviation Administration, Pilot’s Handbook of Aeronautical Knowledge, FAA, U.S. Department of Transportation , 2016 [2] Annex 10 to the Convention on International Civil Aviation, Volume I — Radio Navigation Aids; International Civil Aviation Organization; International Standards and Recommended Practices, www (.) icao (.) int [3] Borje Forssell, Radionavigation Systems, Artech House Publishers, february 2008 [4] Federal Aviation Administration, Aeronautical Chart User's Guide, Skyhorse, 2017 [5] Cary Spitzer et Al, Digital Avionics Handbook, CRC Press, 2014 [6] Qiuyuan Pang and Yude Ni, Design and Radiation Characteristics Analysis of DME Beacon Antenna, Communications in Information Science and Management Engineering (CISME) Vol. 2 Iss. 4 2012 PP. 49-52 [7] Warren L. Stutzman, Gary A, Antenna Theory and Design, John Wiley & Sons, 2012 [8] C.Balanis, Antenna Theory: Analysis and Design, Wiley-Interscience; 2005 [9] Amna Ikram, Jean-Jacques Laurin, On the Increase of the Directivity of a Low Profile Aircraft Antenna, The 8th European Conference on Antennas and Propagation, 2014 [10] Ilcev St. D, Airborne Satellite Navigation and Other Integrated Antenna Systems, International Conference on Electrical, Electronics, and Optimization Techniques (ICEEOT), 2016 [11] Yude Ni, Qiuyuan Pang, Zongping Lv, Far Field Radiation Characteristics of Linear Biconical Antenna Array, 2nd International Conference on Artificial Intelligence, Management Science and Electronic Commerce (AIMSEC), August 2011 [12] A Mabrook Masoud, Su Donglin, A novel wide-band airborne UHF antenna, IEEE Workshop on Electronics, Computer and Applications, June 2014. [13] P. Bhavya et Al, Design and Development of a Conformal Printed sleeve dipole antenna operating in 800MHz to 3000MHz, Indian Journal of Science and Technology, December 2016 [14] Atef Z. Elsherbeni, Payam Nayeri, C.J. Reddy, Antenna Analysis and Design using FEKO Electromagnetic Simulation Software, The ACES Series on Computational Electromagnetics and Engineering (CEME), SciTech Publishing, 2014