Trust Networks

                        Krishnaprasad Thirunarayan (T. K. Prasad)
               Professor, Department of Computer Science and Engineering
           Kno.e.sis - Ohio Center of Excellence in Knowledge-enabled Computing
                         Wright State University, Dayton, OH-45435
         (Collaborators: Pramod Anantharam, Cory Henson, and Professor Amit Sheth)



                                           CTS-2012


May 21, 2012                       Trust Networks: T. K. Prasad                      1
Broad Outline
• Real-life Motivational Examples (Why?)
• Trust : Characteristics and Related Concepts (What?)
• Trust Ontology (What?)
   – Type, Value, Process, Scope
• Gleaning Trustworthiness (How?) + Robustness to Attack
   – Practical Examples of Trust Metrics
   – Comparative Analysis of Bayesian Approaches to Trust
• Research Challenges (Why-What-How?)
   – Sensor Networks
   – Social Networks
   – Interpersonal
• Details of Bayesian Approach to Multi-level Trust
May 21, 2012            Trust Networks: T. K. Prasad        2
Real-life Motivational Examples

                 (Why track trust?)




May 21, 2012       Trust Networks: T. K. Prasad   3
Interpersonal

• With which neighbor should we leave our
  children over the weekend when we are
  required to be at the hospital?

• Who should be named as a guardian for our
  children in the Will?


May 21, 2012     Trust Networks: T. K. Prasad   4
Social
• In Email:

      – SUBJECT: [TitanPad] Amit Sheth invited you to an
        EtherPad document.
      – CONTENT: View it here:
               http://knoesis.titanpad.com/200



• Issue: Is the request genuine or a trap?


May 21, 2012           Trust Networks: T. K. Prasad    5
Social

• To click or not to click a http://bit.ly-URL



• To rely or not to rely on a product review
  (when only a few reviews are present, or the
  reviews are conflicting)?


May 21, 2012        Trust Networks: T. K. Prasad   6
Sensors
• Weather sensor network predicts a potential tornado in
  the vicinity of a city.
• Issue: Should we mobilize emergency response teams
  ahead of time?
• Van’s TCS (Traction Control System) indicator light came
  on intermittently, while driving.
• Issue: Which is faulty: the indicator light or the traction
  control system?
• Van’s Check Engine light came on, while driving.
• Issue: Which is faulty: the indicator light or the
   transmission?
May 21, 2012            Trust Networks: T. K. Prasad        7
Man-Machine Hybrid
                 Collaborative Systems
The 2002 Uberlingen Mid-air Collision (between
Bashkirian Airlines Flight 2937 and DHL Flight
611) occurred because the pilot of one of the
planes trusted the human air traffic controller
(who was ill-informed about the unfolding
situation), instead of the electronic TCAS system
(which was providing conflicting but correct
course of action to avoid collision).
          http://en.wikipedia.org/wiki/2002_Uberlingen_mid-air_collision

May 21, 2012                     Trust Networks: T. K. Prasad              8
Man-Machine Hybrid
               Collaborative Systems
     In hybrid situations, artificial agents
     should      reason      about                  the
     trustworthiness and deceptive
     actions of their human counter
     parts. People and agents in virtual
     communities will deceive, and will
     be deceived.           Castelfranchi and Tan, 2002


May 21, 2012           Trust Networks: T. K. Prasad       9
Common Issues and Context
• Uncertainty
  – About the validity of a claim or
   assumption
  – Past Experience : Vulnerability

• Need for action
• Critical decision with potential for loss

May 21, 2012        Trust Networks: T. K. Prasad   10
Commonality among Trust Definitions*
• a Trustor
      – someone who must choose whether, and how much, to
        trust
• a Trustee
      – someone or something that is to be trusted
• an Action
      – by which the trustor is choosing to be vulnerable to the
        trustee based on an assessment of trustee’s nature
• a Context
      – in which the potential negative consequences of betrayal
        outweigh any perceived positive results.
                                                     *http://www.iarpa.gov/rfi_trust.html
May 21, 2012               Trust Networks: T. K. Prasad                              11
Sources of uncertainty
• In social network, trustor’s incomplete
  knowledge or trustee’s devious intentions.
• In sensor network, unpredictable environment
  (e.g., random phenomenon), or sensor faults
  (e.g., due to aging), leading to corrupt data.
• In cognitive radio networks, unpredictable
  channel noise or traffic.
• Interpersonal examples
      – Irresponsible / selfish / greedy / vengeful traits

May 21, 2012              Trust Networks: T. K. Prasad       12
Why Track Trust?
• In Mobile Ad Hoc Networks (MANETs),
  trust enables dynamic determination of
  secure routes.
      – Efficiency: To improve throughput
               • By avoiding nodes facing bad channel condition
      – Robustness : To detect malicious nodes
               • When attackers enter the network in spite of
                 secure key distribution/authentication

May 21, 2012                  Trust Networks: T. K. Prasad        13
Why Track Trust?
• In sensor networks, it allows detection of
  faults and transient bad behaviors due to
  environmental effects.

• In cognitive radio networks, it can enable
  selection of optimal channel (less noisy,
  less crowded channels).

May 21, 2012       Trust Networks: T. K. Prasad   14
Why Track Trust?
• In E-commerce:

      –To predict future behavior in a
       reliable manner.
      –To incentivize “good” behavior and
       discourage “bad” behavior.
      –To detect malicious entities.

May 21, 2012       Trust Networks: T. K. Prasad   15
The Two Sides of Trust
• Trustor     assesses     trustee      for
  dependability.
• Trustee casts itself in positive light to
  trustor.
• Trust is a function of trustee's
  perceived trustworthiness and the
  trustor's propensity to trust.
May 21, 2012          Trust Networks: T. K. Prasad   16
Risk/uncertainty mitigation
• Compensating factors that alter trust
  threshold
     • In e-commerce, warranties and insurance
       reduce risk.
     • In sensor networks, redundancy enables
       filtering of corrupt data.
     • In interpersonal situations, close ties
       help.

May 21, 2012            Trust Networks: T. K. Prasad   17
Trust and Related Concepts

                      (What is trust?)




May 21, 2012           Trust Networks: T. K. Prasad   18
Trust Definition : Psychology slant


 Trust is the psychological state
  comprising a willingness to be
  vulnerable in expectation of a
  valued result.

               Ontology of Trust, Huang and Fox, 2006
               Josang et al’s Decision Trust

May 21, 2012     Trust Networks: T. K. Prasad           19
Trust Definition : Psychology slant


    Trust in a person is a commitment to
    an action based on a belief that the
    future actions of that person will
    lead to good outcome.

                                                Golbeck and Hendler, 2006

May 21, 2012     Trust Networks: T. K. Prasad                           20
Trust Definition : Probability slant
   Trust (or, symmetrically, distrust)
   is a level of subjective probability
   with which an agent assesses
   that another agent will perform
   a particular action, both before
   and independently of such an
   action being monitored …
                     Can we Trust Trust?, Diego Gambetta, 2000
                     Josang et al’s Reliability Trust
May 21, 2012    Trust Networks: T. K. Prasad                 21
Trustworthiness Definition :
                    Psychology Slant
 Trustworthiness is a collection of
  qualities of an agent that leads them
  to be considered as deserving of
  trust from others (in one or more
  environments,      under      different
  conditions, and to different degrees).
                                                  http://www.iarpa.gov/rfi_trust.html
May 21, 2012            Trust Networks: T. K. Prasad                              22
Trustworthiness Definition :
                    Probability slant
  Trustworthiness is the objective
   probability that the trustee
   performs a particular action on
   which the interests of the
   trustor depend.
                                                       Solhaug et al, 2007

May 21, 2012            Trust Networks: T. K. Prasad                         23
Trust vs Trustworthiness : My View
                Trust Disposition
                    Depends on
Potentially Quantified Trustworthiness Qualities
                          +
        Context-based Trust Threshold
    E.g.*, In the context of trusting strangers, people in
    the West will trust for lower levels of trustworthiness
    than people in the Gulf.              *Bohnet et al, 5/2010


May 21, 2012             Trust Networks: T. K. Prasad        24
Qualitative Trust Dispositions
               (depends on Trust Threshold)




                                                        http://paulenglish.com/trust.html

May 21, 2012             Trust Networks: T. K. Prasad                                       25
(Community-based) Reputation
• Reputation* is the community or public
  estimation of standing for merit,
  achievement, reliability, etc. *dictionary.com
• Reputation** is the opinion (or a social
  evaluation) of a community toward a
  person, a group of people, or an
  organization on a certain criterion. **Wikipedia
               • Cf. Brand-value, PageRank, eBay profile, etc.

May 21, 2012                  Trust Networks: T. K. Prasad       28
Trust vs. (Community-based)
                         Reputation
    Reputation can be a basis for trust.
    However, they are different notions*.

• I trust you because of your good reputation.
• I trust you despite your bad reputation.
• Do you still trust Toyota brand?

                                                       *Josang et al, 2007


May 21, 2012            Trust Networks: T. K. Prasad                   29
Trust vs. (Community-based)
                        Reputation
                    Trust :: Reputation
                             ::::
                      Local :: Global
                             ::::
                  Subjective :: Objective
                 (Cf. Security refers to resistance to attacks.)

May 21, 2012                    Trust Networks: T. K. Prasad       30
Reputation is Overloaded

                Community-based Reputation
                           vs.
                   Temporal Reputation

    (Cf. Sustained good behavior over time elicits
            temporal reputation-based trust.)

May 21, 2012            Trust Networks: T. K. Prasad   31
Trust is well-known,
               but is not well-understood.
The utility of a notion
testifies not to its clarity but
rather to the philosophical
importance of clarifying it.
    -- Nelson Goodman
                 (Fact, Fiction and Forecast, 1955)

May 21, 2012              Trust Networks: T. K. Prasad   34
Trust Ontology

                             (What is trust?)

               Illustration of Knowledge Representation and Reasoning:
                 Relating Semantics to Data Structures and Algorithms




May 21, 2012                    Trust Networks: T. K. Prasad             35
Example Trust Network -
         Different Trust Links with Local Order on out-links

    • Alice trusts Bob for recommending good                                        car
      mechanic.
    • Bob trusts Dick to be a good car mechanic.
    • Charlie does not trust Dick to be a good                                      car
      mechanic.
    • Alice trusts Bob more than Charlie,                                           for
      recommending good car mechanic.
    • Alice trusts Charlie more than Bob,                                           for
      recommending good baby sitter.
                                                          *Thirunarayan et al, IICAI 2009
May 21, 2012               Trust Networks: T. K. Prasad                                36
Digression: Illustration of Knowledge
            Representation and Reasoning
• Abstract and encode clearly delineated “subarea”
  of knowledge in a formal language.
      – Trust Networks => node-labeled, edge-labeled
        directed graph (DATA STRUCTURES)
• Specify the meaning in terms of how “network
  elements” relate to or compose with each other.
      – Semantics of Trust, Trust Metrics => using logic or
        probabilistic basis, constraints, etc. (SEMANTICS)
• Develop efficient graph-based procedures
      – Trust value determination/querying (INFERENCE
        ALGORITHMS)

May 21, 2012              Trust Networks: T. K. Prasad        37
(In recommendations)

                                              (For capacity to act)

                                              (For lack of
                                               capacity to act)
May 21, 2012   Trust Networks: T. K. Prasad                       38
Trust Ontology*
6-tuple representing a trust relationship:
                    {type, value, scope, process}
     trustor                                                                  trustee



Type            –   Represents the nature of trust relationship.
Value           –   Quantifies trustworthiness for comparison.
Scope           –   Represents applicable context for trust.
Process –           Represents the method by which the value is
                    created and maintained.
                                                           *Anantharam et al, NAECON 2010
 May 21, 2012                   Trust Networks: T. K. Prasad                            39
Trust Ontology:
               Trust Type, Trust Value, and Trust Scope

     Trust Type*
        Referral Trust – Agent a1 trusts agent a2’s ability to
                         recommend another agent.
        (Non-)Functional Trust – Agent a1 (dis)trusts agent a2’s
                                  ability to perform an action.
                Cf. ** trust in belief vs. trust in performance
     Trust Value
        E.g., Star rating, numeric rating, or partial ordering.
     Trust Scope*
        E.g., Car Mechanic context.         *Thirunarayan et al, IICAI 2009
                                                                  ** Huang and Fox, 2006
May 21, 2012                       Trust Networks: T. K. Prasad                            40
Multidimensional / Orthogonal
                Trust Scopes in Ecommerce

    • Trust in a vendor to deliver on
      commitments
    • Trust in vendor's ethical use of
      consumer data
    • Trust in Internet communication being
      secure.
    • Plus: Propensity/Disposition to trust
May 21, 2012            Trust Networks: T. K. Prasad   41
Trust Ontology:
                             Trust Process
     Represents the method by which the value
      is computed and maintained.
           Primitive (for functional and referral links)*
                Reputation – based on past behavior (temporal) or
                 community opinion.
                Policy – based on explicitly stated constraints.
                Evidence – based on seeking/verifying evidence.
                Provenance – based on lineage information.
           Composite (for admissible paths)**
                Propagation (Chaining and Aggregation)
                                                             *Anantharam et al, NAECON 2010
                                                             **Thirunarayan et al, IICAI 2009
May 21, 2012                  Trust Networks: T. K. Prasad                                44
Trust Ontology




May 21, 2012     Trust Networks: T. K. Prasad   46
Example Trust Network illustrating Ontology Concepts

                                                                   Dick is a
      Bob is a car                                                 certified
      aficionado                                                   mechanic


                     type: referral
                     process: reputation
                     scope: car mechanic
                     value: TAB            Bob           type: functional
                                                         process: policy
               TAB > TAC                                 scope: car mechanic     ASE certified
                                                         value: 10

              type: referral
   Alice
              process: reputation
              scope: car mechanic                type: non-functional
              value: TAC                         process: reputation
                                                 scope: car mechanic      Dick
                                                 value: 3



                                                                                       47
                                     Charlie
Unified Illustration of Trust Processes
    Scenario : Hiring Web Search Engineer - An R&D Position
    Various Trust Processes :
    • (Temporal-based) Reputation: Past job experiences
    • (Community-based) Reputation: Multiple
      references
    • Policy-based: Score cutoffs on screening test
    • Provenance-based: Department/University of
      graduation
    • Evidence-based: Multiple interviews (phone, on-
      site, R&D team)

May 21, 2012              Trust Networks: T. K. Prasad        48
Deception
    • Deception is the betrayal of trust.

          –Ironically, trust makes us prone to
           deception.
          –Knowing what features are used to
           glean trustworthiness can also assist
           in avoiding detection while deceiving.
May 21, 2012          Trust Networks: T. K. Prasad   49
Gleaning Trustworthiness :
                    Practical Examples
               (How to determine trustworthiness?)




May 21, 2012              Trust Networks: T. K. Prasad   50
Trust Metric and Trust Model

• Trust Metric => How is primitive trust
  represented?
               • E.g., Real number, Finite levels, Partial Order, Opinion =
                 (belief, disbelief, uncertainty), etc.


• Trust Model => How is composite trust
  computed or propagated?
                                                                Y. L. Sun, et al, 2/2008
May 21, 2012                     Trust Networks: T. K. Prasad                         51
Ideal Approach
• Capture semantics of trust using
      – axioms for trust propagation, or
      – catalog of example trust networks that are
        equivalent.

• Develop trust computation rules for
  propagation     (that is,  chaining and
  aggregation) that satisfy the axioms or
  equivalence relation.

May 21, 2012         Trust Networks: T. K. Prasad   52
Direct Trust : Functional and Referral
          Reputation-based Process
               (Using large number of observations)




May 21, 2012               Trust Networks: T. K. Prasad   53
Reputation-based Frameworks

• Centralized Trust Authority
      – E.g., E-commerce systems, etc.


• Distributed Trust Representation and
  Computation (using Bayesian analytics)
      – E.g., MANETs, peer-to-peer networks, etc.



May 21, 2012            Trust Networks: T. K. Prasad   54
Using Large Number of Observations

• Over time (<= Referral + Functional) :
  Temporal Reputation-based Process
      – Mobile Ad-Hoc Networks
      – Sensor Networks
               • Quantitative information
                 (Numeric data)
• Over agents (<= Referral + Functional) :
  Community Reputation-based Process
      – Product Rating Systems
               • Quantitative + Qualitative information
                 (Numeric + text data)

May 21, 2012                      Trust Networks: T. K. Prasad   55
Desiderata for Trustworthiness
                   Computation Function
• Initialization Problem : How do we get initial value?
• Update Problem : How do we reflect the observed
  behavior in the current value dynamically?
• Trusting Trust* Issue: How do we mirror uncertainty
  in our estimates as a function of observations?
               • Law of Large Numbers: The average of the results obtained from a
                 large number of trials should be close to the expected value.
• Efficiency Problem : How do we store and update
  values efficiently?
                        *Ken   Thompson’s Turing Award Lecture: “Reflections on Trusting Trust”

May 21, 2012                              Trust Networks: T. K. Prasad                            56
Mathematical Background

                  Beta PDF for Reputation




May 21, 2012            Trust Networks: T. K. Prasad   57
Beta-distribution : Gently
• Consider a (potentially unfair) coin that comes up
  HEADS with probability p and TAILS with probability
  (1 – p).
• Suppose we perform ( r + s ) coin tosses and the coin
  turns up with HEADS r times and with TAILS s times.
• What is the best estimate of the distribution of the
  probability p given these observations?
  => Beta-distribution with parameters ( r+1, s+1 )
                         f(p; r+1, s+1)

May 21, 2012            Trust Networks: T. K. Prasad   58
Beta Probability Density Function(PDF)

                                                                  x is a probability,
                                                                so it ranges from 0-1

                                                           If the prior distribution of x is
                                                           uniform, then the beta
                                                           distribution gives posterior
                                                           distribution of x after
                                                           observing a-1 occurrences
                                                           of event with probability x
                                                           and b-1 occurrences of the
                                                           complementary event with
                                                           probability (1-x).




May 21, 2012                Trust Networks: T. K. Prasad                                59
a = b, so the pdf’s are symmetric w.r.t 0.5.
               Note that the graphs get narrower as (a+b) increases.


                                                                       a= 2
                                     a= 1
                                                                       b= 2
                                     b= 1




                                       a= 5                            a= 10
                                       b= 5                            b= 10




May 21, 2012                      Trust Networks: T. K. Prasad            60
a ≠ b, so the pdf’s are asymmetric w.r.t . 0.5.
               Note that the graphs get narrower as (a+b) increases.




                                       a= 5                            a= 5
                                       b= 25                           b= 10




                                          a= 25                         a= 10
                                          b= 5                          b= 5




May 21, 2012                      Trust Networks: T. K. Prasad            61
Beta-distribution - Applicability

• Dynamic trustworthiness         can     be
  characterized    using beta probability
  distribution function gleaned from total
  number of correct (supportive) r = (a-1)
  and total number of erroneous
  (opposing) s = (b-1) observations so far.
• Overall trustworthiness (reputation) is its
  mean: a/a +b
May 21, 2012       Trust Networks: T. K. Prasad   63
Why Beta-distribution?
• Intuitively satisfactory, Mathematically precise, and
  Computationally tractable
   • Initialization Problem : Assumes that all probability values
     are equally likely.
   • Update Problem : Updates (a, b) by incrementing a for
     every correct (supportive) observation and b for every
     erroneous (opposing) observation.
   • Trusting Trust Issue: The graph peaks around the mean, and
     the variance diminishes as the number of observations
     increase, if the agent is well-behaved.
   • Efficiency Problem: Only two numbers stored/updated.

May 21, 2012             Trust Networks: T. K. Prasad          64
Information Theoretic Interpretation
       of Trustworthiness Probability

• Intuitively, probability values of 0 and 1 imply
  certainty, while probability value of 0.5 implies
  a lot of uncertainty.

• This can be formalized by mapping probability
  in [0,1] to trust value in [–1,1], using
  information theoretic approach.
                                                  Y. L. Sun, et al, 2/2008
May 21, 2012       Trust Networks: T. K. Prasad                              65
Information Theoretic Interpretation
       of Trustworthiness Probability

• T(trustee : trustor, action) =
  if        0.5 <= p
  then      1 – H(p)          /* 0.5 <= p <= 1 */
  else      H(p) – 1          /* 0 <= p <= 0.5 */
  where
      H(p) = – p log2(p) – (1 – p) log2(1 – p)

May 21, 2012        Trust Networks: T. K. Prasad    66
Plot of T(trustee : trustor, action) vs. p

    Trust portion (p in [0.5,1])               Distrust portion (p in [0,0.5])




May 21, 2012                Trust Networks: T. K. Prasad                         68
Linear vs Nonlinear Map
Relative to computing trust as
  T(trustee : trustor, action) = ( p – 0.5 ) * 2
to map of trust probability p in [0,1] to a
trust value in [-1,+1], the information
theoretic formulation yields a non-linear
map that amplifies the effect of changes
to trust probability on the trust value at
the extremes.
May 21, 2012          Trust Networks: T. K. Prasad   69
Direct Trust : Functional
                   Policy-based Process
               (Using Trustworthiness Qualities)




May 21, 2012              Trust Networks: T. K. Prasad   70
General Approach to Trust Assessment
• Domain dependent qualities for determining
  trustworthiness
      – Based on Content / Data
      – Based on External Cues / Metadata

• Domain independent mapping to trust values
  or levels
      – Quantification       through                    abstraction   and
        classification
May 21, 2012             Trust Networks: T. K. Prasad                   71
Example: Wikipedia Articles
• Quality (content-based)
   – Appraisal of information provenance
               • References to peer-reviewed publication
               • Proportion of paragraphs with citation
   – Article size
• Credibility (metadata-based)
   – Author connectivity
   – Edit pattern and development history
               •   Revision count
               •   Proportion of reverted edits - (i) normal (ii) due to vandalism
               •   Mean time between edits
               •   Mean edit length.
                                                                         Sai Moturu, 8/2009
May 21, 2012                              Trust Networks: T. K. Prasad                        72
(cont’d)
• Quantification of Trustworthiness
      – Based on Dispersion Degree Score
        (Extent of deviation from mean)
• Evaluation Metric
      – Ranking based on trust level (determined from
        trustworthiness scores), and compared to gold
        standard classification using Normalized
        Discounted Cumulative Gain (NDCG)
               • RATINGS: featured, good, standard, cleanup, and stub.
               • NDCG: penalizes more heavily errors at the top.


May 21, 2012                        Trust Networks: T. K. Prasad         73
Example: Websites
• Trustworthiness estimated based on criticality
  of data exchanged.
               •   Email address / Username / password
               •   Phone number / Home address
               •   Date of birth
               •   Social Security Number / Bank Account Number
• Intuition: A piece of data is critical if and only
  if it is exchanged with a small number of
  highly trusted sites.
May 21, 2012                      Trust Networks: T. K. Prasad    74
Indirect Trust : Referral + Functional
        Variety of Trust Metrics and Models
       (Using Propagation – Chaining and Aggregation over Paths)




May 21, 2012               Trust Networks: T. K. Prasad            75
Collaborative Filtering
• Collaborative Filtering: Item-rating by a user
  predicted on the basis of user’s similarity to
  other users.

• Similarity Measures:
               • Profile-based
               • Item-ratings-based
               • Item-category-based

May 21, 2012                 Trust Networks: T. K. Prasad   78
Collaborative Filtering
• Pros:
      – Items-agnostic
      – Scales well over time with large number of items
• Cons:
   – Data Sparsity Problem: Small number of
     common items between users.
   – Cold Start Users: Small number of items rated
     by a user.
   – Prone to Copy-Profile Attack: An attacker can
     create a targeted-user-like profile to
     manipulate recommendations.
                                                        Massa-Avesani, 2007
May 21, 2012             Trust Networks: T. K. Prasad                         79
Trust-aware Recommender System
• TaRS uses explicit/direct trust between users to
  predict implicit/indirect trust between users
  through chaining.
• Collaborative Filtering Limitations Overcome:
      – Mitigates Data Sparsity: Trust propagation is more
        general and improves coverage.
      – Bootstraps Cold Start Users: A single trust link from a
        new user can enable the user to inherit several
        “parental” recommendations.
      – Robust w.r.t Copy-Profile Attack: Fake identities are
        not trusted by an active user.
                                                         Massa-Avesani, 2007
May 21, 2012              Trust Networks: T. K. Prasad                         80
Trust Propagation Frameworks
• Chaining, Aggregation, and Overriding
     Golbeck – Hendler, 2006    Massa-Avesani, 2005              Sun et al, 2006
                                Bintzios et al, 2006             Thirunarayan et al, 2009
• Trust Management                                                   Richardson et al, 2003
               • Abstract properties of operators
• Reasoning with trust                                                  Guha et al., 2004
               • Matrix-based trust propagation
• The Beta-Reputation System
               • Algebra on opinion = (belief, disbelief, uncertainty)
                                                                    Josang and Ismail, 2002
May 21, 2012                      Trust Networks: T. K. Prasad                                81
Trust Propagation Algorithms
• Top-down
               • 1: Extract trust DAG (eliminate cycles)
               • 2: Predict trust score for a source in a target by
                 aggregating trust scores in target inherited
                 from source’s “trusted” parents weighted with
                 trust value in the corresponding parent.
                   –Computation is level-by-level
                   –Alternatively, computation can be based on
                     paths.
                                                              Golbeck – Hendler, 2006

May 21, 2012                   Trust Networks: T. K. Prasad                         82
Trust Propagation Algorithms
• Bottom-up
               • 1: Extract trust DAG (eliminate cycles)
               • 2: Predict trust score for a source in a target by
                 aggregating trust scores in target inherited
                 from target’s “trusted” neighbors weighted
                 with trust value in the corresponding neighbor.
                   –Computation is level-by-level
                   –Alternatively, computation can be based on
                     paths.                       Massa-Avesani, 2005
                                                               Bintzios et al, 2006


May 21, 2012                    Trust Networks: T. K. Prasad                          83
Top-down vs Bottom-up (visualized)

                                                                 Target


                                                            w1            w3
               Target                                            w2



                             Trust-Network




          w1   w2       w3

               source                                            source

May 21, 2012                 Trust Networks: T. K. Prasad                      84
Example: Comparative Analysis
                                     Different Interpretation:
                                     q distrusts s (Bintzios et al’s)
                                                 vs
                                   q has no information about
                                  the trustworthiness of s (our’s,
                                       Golbeck rounding algorithm)




May 21, 2012     Trust Networks: T. K. Prasad                           85
Example: Well-founded
                Cyclic Trust Network




                                                    Thirunarayan and Verma, 2007

May 21, 2012         Trust Networks: T. K. Prasad                              87
Example: Using TidalTrust Algorithm




May 21, 2012    Trust Networks: T. K. Prasad   88
Indirect Trust : Referral + Functional
         Variety of Bayesian Trust Models
               With Applications to Mobile Ad hoc Networks
                     Wireless Sensor Networks, etc.




May 21, 2012                 Trust Networks: T. K. Prasad    89
Direct Trust : Functional and Referral
• Trust link: {subject : agent, action}
• For MANETs (resp. cognitive radio)
      – Functional => Packet Forwarding (resp. quality of
        spectrum / channel)
      – Referral => Recommendations
               Based on beta-reputation model:
               Probability for trust = (S + 1) / (S + F +2)
                      where S = Number of good actions
                              F = Number of bad actions

May 21, 2012                      Trust Networks: T. K. Prasad   90
Direct Trust : Functional and Referral
• Direct Trust for Packet Forwarding
               • S = Number of packets forwarded
               • F = Number of packets dropped
               • S + F = Total number of requests for packet forwarding
• Direct Trust for Recommendations
               • S = Number of times observed direct trust for packet
                 forwarding approximates expected indirect trust for
                 packet forwarding (trust over transit path : r+f)
               • F = Number of times observed direct trust for packet
                 forwarding does not approximate expected indirect
                 trust for packet forwarding (trust over transit path : r+f)
May 21, 2012                      Trust Networks: T. K. Prasad            91
Indirect Trust : Functional and Referral
• Indirect Trust for Packet Forwarding
                   – Used when direct trust is not available
                       »(overriding behavior)
               • Chain links for a path from a recommender to the target
                   – Multiplicative
               • Aggregate over multiple                             (parallel)   paths   from
                 recommenders to the target
                   – Unclear, in general

• Indirect Trust for Recommendations
               • Obtained implicitly through computed referral trust

May 21, 2012                          Trust Networks: T. K. Prasad                          92
Trust Propagation Rules :
               Axioms for Trust Models

Rule 1: Concatenation
  propagation does
  not increase trust.                 |T(A1,C1)| <= min(|R(A1,B1)|, |T(B1,C1)|)



Rule 2: Multipath
  propagation does
  not reduce trust. 0<=T(A1,C1) <= T(A2,C2) for R1 > 0 and T2 >= 0
                            0>=T(A1,C1) >= T(A2,C2) for R1 > 0 and T2 < 0


May 21, 2012               Trust Networks: T. K. Prasad
                                                           Sun et al, 2006        93
(cont’d)
 Rule 3: Trust based on multiple referrals from a
  single source should not be higher than that
  from independent sources.




               0<=T(A1,C1) <= T(A2,C2) for R1, R2, R3 > 0 and T2 >= 0
               0>=T(A1,C1) >= T(A2,C2) for R1, R2, R3 > 0 and T2 < 0

May 21, 2012                      Trust Networks: T. K. Prasad
                                                                 Sun et al, 2006   94
Trust Propagation Rules :
                   Implementation
                    1             2




May 21, 2012            Trust Networks: T. K. Prasad
                                                       Sun et al, 2006   95
Trust Paths Visualized for Scalability:
      Semantics unclear based on Sun et al’s spec

                                                     Bottom-up computation
                                                     reflects our needs better?




May 21, 2012          Trust Networks: T. K. Prasad                          101
Trust : Functional and Referral
• Direct Trust for Primitive Actions based on
               • S = Number of success actions
               • F = Number of failed actions
               • S + F = Total number of actions
• Indirect Trust via Recommendations based on
  summing direct experiences of recommenders
               • Sk = Number of success actions for kth recommender
               • Fk = Number of failed actions for kth recommender

               • No chaining for referrals                      Denko-Sun 2008

May 21, 2012                     Trust Networks: T. K. Prasad               104
Cumulative Trust using
         Direct Experience and Recommendations
• Cumulative Trust is obtained by using total
  number of success actions and failed actions
  from direct experience (ns,nu) and from i
  (indirect       experiences         through)
  recommendations (nsr,nur).




May 21, 2012          Trust Networks: T. K. Prasad   105
Contents of [Ganeriwal et al, 2007] Paper

• (a,b)-parameters to compute trust of i in j is
  obtained by combining direct observations
  (aj,bj) with indirect observations (ajk,bjk) from
  k weighted by (ak,bk) using [Josang-Ismail,
  2002] chaining/discounting rule.
               • Obtains cumulative trust by combining direct trust from
                 a functional link and indirect trusts using paths
                 containing one referral link and one functional link.
               • However, it does not distinguish functional and referral
                 trust.

May 21, 2012                     Trust Networks: T. K. Prasad         106
Trust Propagation Rules :
               Beta Reputation System
                    1             2




May 21, 2012            Trust Networks: T. K. Prasad
                                                       Josang and Ismail, 2002
                                                                           107
Trust Propagation Rules :
               Beta Reputation System
                    1             2


Rule 1: Concatenation propagation (reputation
      discounting)
        r = 2*r1 * r2 / (s1+2)(r2+s2+2)+2*r1
        s = 2*r1 * s2 / (s1+2)(r2+s2+2)+2*r1
Rule 2: Multipath propagation (combining
      feedback)
        r = r1 + r2         s = s1 + s2
Rule *: Temporal Decay (Forgetting)
May 21, 2012            Trust Networks: T. K. Prasad
                                                       Josang and Ismail, 2002
                                                                           108
Contents of [B-Trust, 2006] Paper
• Uses generic K-level discrete trust metric (as
  opposed to 2-level metric)
    – E.g., (very untrustworthy, untrustworthy, trustworthy, very trustworthy)
    – E.g., reminiscent of Amazon recommendation ratings
• Distributed (local), robust, lightweight,
  computational trust that takes into account
  context, subjectivity, and time
    – a la reputation-based approach
• Application: Pervasive computing
 May 21, 2012                 Trust Networks: T. K. Prasad               109
BUG -> FLAWED LEARNING?


• The approach does not clearly separate the
  use of stable background knowledge for
  applying Bayes’ rule, from the need to
  dynamically learn background knowledge for
  gleaning trust from experience.
• As a result, the initial trust values do not
  change in response to experience.

May 21, 2012           Trust Networks: T. K. Prasad   110
Comparative Analysis
[Menko-T.Sun] : Beta-distribution based
• Direct functional trust and indirect functional
  trust (through direct referrals).
      – Trivial chaining.
      – One fixed context, local and distributed.
• Robustness improved by dropping extreme
  recommendations, though recommenders not
  distinguished.

May 21, 2012             Trust Networks: T. K. Prasad   111
Comparative Analysis
[Ganeriwal et al]: Beta-distribution based
• Functional and Referral trust mixed up.
      – Context glossed over, local and distributed.
• Robustness improved by chaining trust links of
  length 2, using Josang-Ismail opinion
  composition.
      – Recommenders distinguished.
      – Chaining weighs recommendations by
        recommender trust.
May 21, 2012             Trust Networks: T. K. Prasad   112
Comparative Analysis
[Y. Sun et al]: Beta-distribution based
• Functional and Referral trust separated.
               • One Context, hybrid (dynamically formed trust
                 network) and distributed.
               • Information-theoretic approach
• Axiomatic specification and implementation of
  trust propagation (chaining and aggregation)
               • Incomplete w.r.t. arbitrary trust networks
• Robustness and Quality improved by analyzing
  dynamically formed trust network.
May 21, 2012                     Trust Networks: T. K. Prasad    113
Comparative Analysis
[B-Trust et al]: Multi-valued trust - Bayesian
• Functional and Referral trust separated.
      – Context-based, local and distributed.
• Individualized aggregation, trivial chaining.
• Nice roadmap for theory, specification, and
  implementation of trust networks
      – Multi-valued Trust evolution : novel but buggy.



May 21, 2012            Trust Networks: T. K. Prasad      114
Comparative Analysis
[MLT-Approach]: Multi-level trust using Dirichlet
Distribution
• Functional and Referral trust separated.
      – Context-based, local and distributed.
• Individualized aggregation, trivial chaining.
• Based on B-Trust roadmap but MLT evolution
  based on Dirichlet distribution: conceptually
  satisfactory and computationally efficient
• Example-based analysis for insights
May 21, 2012            Trust Networks: T. K. Prasad   115
Security Issues:
               Threats and Vulnerabilities
               Attacks and Robustness Analysis




May 21, 2012            Trust Networks: T. K. Prasad   116
Attacks
• Trust Management is an attractive target for
  malicious nodes.
       Bad mouthing attack (Defamation)
                Dishonest recommendations on good nodes (calling them
                 bad)
       Ballot stuffing attack (Collusion)
                Dishonest recommendations on bad nodes (calling them
                 good)
       Sybil attack
                Creating Fake Ids
       Newcomer attack
                Registering as new nodes


May 21, 2012                         Trust Networks: T. K. Prasad        117
Attacks
• Inconsistency in time-domain
       On-Off attack
                Malicious node behaves good and bad alternatively to
                 avoid detection
       Sleeper attack
                Malicious node acquires high trust by behaving good
                 and then strikes by behaving bad
 Inconsistency in node-domain
       Conflicting Behavior Attack
                Provide one recommendation to one set of peers and a
                 conflicting recommendation to a disjoint set of peers

May 21, 2012                    Trust Networks: T. K. Prasad            118
Security : Robustness w.r.t Attacks
 Bad mouthing attack
      Example: Competent nodes downplay competitions.
      Example: Can diminish throughput due to lost capacity.
 Approach:
       Separate functional and referral trust, updating
        referral trust to track good recommendations
       Trust composition rules ensure that low or
        negative referral trust does not impact decision
                Low trust nodes can be branded as malicious and
                 avoided. (Not viable if majority collude.)


May 21, 2012                    Trust Networks: T. K. Prasad       119
Security : Robustness w.r.t Attacks
 Ballot stuffing attack
      Example: Malicious nodes collude to recommend each
       other.
      Example: Can cause unexpected loss of throughput.
 Approach:
       Feedback : Cross-check actual functional
        performance with expected behavior via referral,
        and update (reward/penalize) referral trust (in
        parent) accordingly (in addition to updating
        functional trust (in target))
May 21, 2012             Trust Networks: T. K. Prasad       120
Security : Robustness w.r.t. Attacks
 Sybil attack
       Create Fake Ids to take blame for malicious
        behavior (dropping packets)
 Newcomer attack
       Register as new node to erase past history
 Approach
       Requires separate (key-based or security token-
        based) authentication mechanism (with TTP) to
        overcome these attacks.

May 21, 2012            Trust Networks: T. K. Prasad      121
Security : Robustness w.r.t Attacks
 On-Off attack
 Sleeper attack
       Example: Due to malice or environmental changes
 Approach:
   Use forgetting factor (0<=b<=1):
     k good/bad actions at t1
  = k * b(t2 – t1) good/bad actions at t2 (> t1)


May 21, 2012           Trust Networks: T. K. Prasad   122
Forgetting Factor
       k good/bad actions at t1 = k * b(t2 – t1) good/bad actions at t2 (> t1)

• High b value (0.9) enhances memorized time
  window, while low b value (0.001) reduces it.
      – High b enables malicious nodes (on-off/sleeper
        attackers) to use prior good actions to mask
        subsequent intentional bad actions.
               • Reduces reliability.
      – Low b forces legitimate nodes to be avoided due
        to short spurts of unintentional bad actions.
               • Reduces throughput.


May 21, 2012                      Trust Networks: T. K. Prasad                   123
Adaptive Forgetting Factor
• Intuition: Bad actions are remembered for a
  longer duration than good actions.
• Actions performed with high trust forgotten quicker than
  actions performed with low trust.
                 Choose b equal to ( 1 – p )
          Choose b = 0.01 when p in [0.5,1] else 0.9
    Example: Similar ideas used in Ushahidi
 Note: Effectively, more good actions are
  necessary to compensate for fewer bad actions,
  to recover trust.

May 21, 2012            Trust Networks: T. K. Prasad     124
Security : Robustness w.r.t. Attacks
 Conflicting Behavior Attack
       Malicious node divide and conquer, by behaving
        differently (resp. by providing different
        recommendations) to different peers, causing
        peers to provide conflicting recommendations to
        source about the malicious node (resp. about
        some target), reducing source’s referral trust in
        some peers.
                Eventually, this causes recommendations of some peers
                 to be ignored incorrectly.

May 21, 2012                    Trust Networks: T. K. Prasad        125
Example
• Peer Node Set 1: 1, 2, 3, and 4
• Peer Node Set 2: 5, 6, 7, and 8
• Malicious node 0 behaves well towards nodes in
  Set 1 but behaves badly towards nodes in Set 2.
• When node 9 seeks recommendations from
  nodes in Set 1 U Set 2 on node 0, node 9 receives
  conflicting recommendations on malicious node
  0, causing referral trust in nodes in Set 1 or
  nodes in Set 2 to be lowered.
               => Eventually throughput lowered

May 21, 2012                     Trust Networks: T. K. Prasad   126
Security : Robustness w.r.t. Attacks

 Conflicting Behavior Attack
   Issue: Can recommenders get feedback
    to reduce trust in malicious node?
    Otherwise, referral trust cannot be
    relied upon for detecting malicious
    nodes.

May 21, 2012   Trust Networks: T. K. Prasad   127
Security : Robustness w.r.t. Attacks
       If cumulative referral trust in B is computed using
        direct experiences of several recommenders,



               then it is possible to weed out extreme
               experiences using deviation from the mean trust
               value, where S is some chosen threshold.




May 21, 2012                 Trust Networks: T. K. Prasad
                                                            Denko-Sun 2008   128
Contents of [Ganeriwal et al, 2007] Paper

• Combined trust of i in j is obtained from direct
  observations (aj,bj) of j by i and indirect
  observations (ajk,bjk) from k to i weighted by
  (ak,bk)       using      [Josang-Ismail,        2002]
  chaining/weighting/discounting rule.
• This discounting rule makes the local trust
  computation resilient to bad mouthing ajk << bjk
  and ballot stuffing ajk >> bjk attacks from
  unreliable/malicious nodes ak << bk.
• It requires aging to be resilient to sleeper attacks.
May 21, 2012           Trust Networks: T. K. Prasad   129
APPROACH/              Trust Type /                Trust Model /       Robustness to
      METRIC                  Context                    Foundation            Attacks
        D[3] /            Functional / One             Trivial chaining /   Ballot-stuffing;
       Binary                                              Beta-PDF         Bad-mouthing

          G[4] /            Functional /                 Josang-Ismail      Ballot-stuffing;
          Binary          Indistinguishable              discounting /      Bad-mouthing;
                                                           Beta-PDF         Sleeper and On-
                                                                                  off
           S[6] /       Functional + Referral          Limited chaining     Ballot-stuffing;
          Binary               / One                   and aggregation /    Bad-mouthing;
                                                          Beta-PDF          Sleeper and On-
                                                                                  off
  Q[28] / Multi-level   Functional + Referral /               No /          Ballot-stuffing;
                               Multiple                     Bayesian        Bad-mouthing;
                                                                            Sleeper and On-
                                                            Ad Hoc
                                                                               off; Sybil

        Ours /          Functional + Referral /               No /          Ballot-stuffing;
       Multi-level             Multiple                  Dirichlet-PDF      Bad-mouthing;
                                                                            Sleeper and On-
                                                                            off; Conflicting
                                                                                behavior


May 21, 2012                        Trust Networks: T. K. Prasad                               131
Research Challenges

               (What-Why-How of trust?)

                        HARD PROBLEMS




May 21, 2012         Trust Networks: T. K. Prasad   132
Generic Directions

• Finding online substitutes for traditional cues
  to derive measures of trust.

• Creating efficient and secure systems for
  managing and deriving trust, in order to
  support decision making.
                                                   Josang et al, 2007

May 21, 2012        Trust Networks: T. K. Prasad                    133
Robustness Issue
You can fool some                                  of the
people all of the time,                           and all
of the people some                                 of the
time, but you cannot                              fool all
of the people all of the                          time.
      Abraham Lincoln,
     16th president of US (1809 - 1865)
May 21, 2012       Trust Networks: T. K. Prasad          134
Trust : Social Networks vs
                       Machine Networks
• In social networks such as Facebook, trust is
  often subjective, while in machine networks
  and social networks such as Twitter, trust can
  be given an objective basis and approximated
  by trustworthiness.
• Reputation is the perception that an agent
  creates through past actions about its
  intentions and norms.
      – Reputation can be a basis for trust.

May 21, 2012             Trust Networks: T. K. Prasad   135
Sensor Networks




May 21, 2012      Trust Networks: T. K. Prasad   137
Our Research
     Abstract trustworthiness of sensors and
     observations to perceptions to obtain actionable
     situation awareness!
                                                                       Web
                             T

               observe                         perceive


                         T                                      T

                                                                    “real-world”



May 21, 2012                     Trust Networks: T. K. Prasad                      138
Trust




                                       Strengthened Trust

May 21, 2012   Trust Networks: T. K. Prasad                 139
Concrete Application
• Applied Beta-pdf to Mesowest Weather Data

      – Used quality flags (OK, CAUTION, SUSPECT)
        associated with observations from a sensor
        station over time to derive reputation of a sensor
        and trustworthiness of a perceptual theory that
        explains the observation.

      – Perception cycle used data from ~800 stations,
        collected for a blizzard during 4/1-6/03.
May 21, 2012            Trust Networks: T. K. Prasad     140
Concrete Application
• Perception Cycle
      – http://harp.cs.wright.edu/perception/


• Trusted Perception Cycle
      – http://www.youtube.com/watch?v=lTxzghCjGgU




May 21, 2012            Trust Networks: T. K. Prasad   141
Mean of beta pdf vs. Time (for stnID = SBE)
           1.2




               1




           0.8




 Mean Beta
           0.6
  Value




           0.4




           0.2




             0
         3/31/2003 0:00   4/1/2003 0:00   4/2/2003 0:00   4/3/2003 0:00   4/4/2003 0:00   4/5/2003 0:00   4/6/2003 0:00   4/7/2003 0:00
                                                                      Time



May 21, 2012                                        Trust Networks: T. K. Prasad                                                    142
Research Issues
• Outlier Detection
      – Homogeneous Networks
               • Statistical Techniques
      – Heterogeneous Networks (sensor + social)
               • Domain Models
• Distinguishing between abnormal phenomenon
  (observation), malfunction (of a sensor), and
  compromised behavior (of a sensor)
      – Abnormal situations
      – Faulty behaviors
      – Malicious attacks                                         Ganeriwal et al, 2008

May 21, 2012                       Trust Networks: T. K. Prasad                   143
Social Networks




May 21, 2012      Trust Networks: T. K. Prasad   144
Our Research


• Study semantic issues relevant to trust

• Proposed model of trust/trust metrics to
  formalize indirect trust



May 21, 2012     Trust Networks: T. K. Prasad   145
Quote
• Guha et al:
      While continuous-valued trusts are
      mathematically clean, from the standpoint
      of usability, most real-world systems will
      in fact use discrete values at which one
      user can rate another.
• E.g., Epinions, Ebay, Amazon, Facebook, etc all
  use small sets for (dis)trust/rating values.

May 21, 2012       Trust Networks: T. K. Prasad   147
Our Approach

   Trust formalized in terms of partial orders
    (with emphasis on relative magnitude)
   Local but realistic semantics
       Distinguishes functional and referral trust
       Distinguishes direct and inferred trust

          Direct trust overrides conflicting inferred trust

       Represents ambiguity explicitly


                                                        Thirunarayan et al , 2009

May 21, 2012             Trust Networks: T. K. Prasad
Formalizing the Framework

• Given a trust network (Nodes AN, Edges RL U
  PFL U NFL with Trust Scopes TSF, Local
  Orderings ⪯ANxAN), specify when a source can
  trust, distrust, or be ambiguous about a
  target, reflecting local semantics of:
      • Functional and referral trust links
      • Direct and inferred trust
      • Locality
May 21, 2012            Trust Networks: T. K. Prasad   149
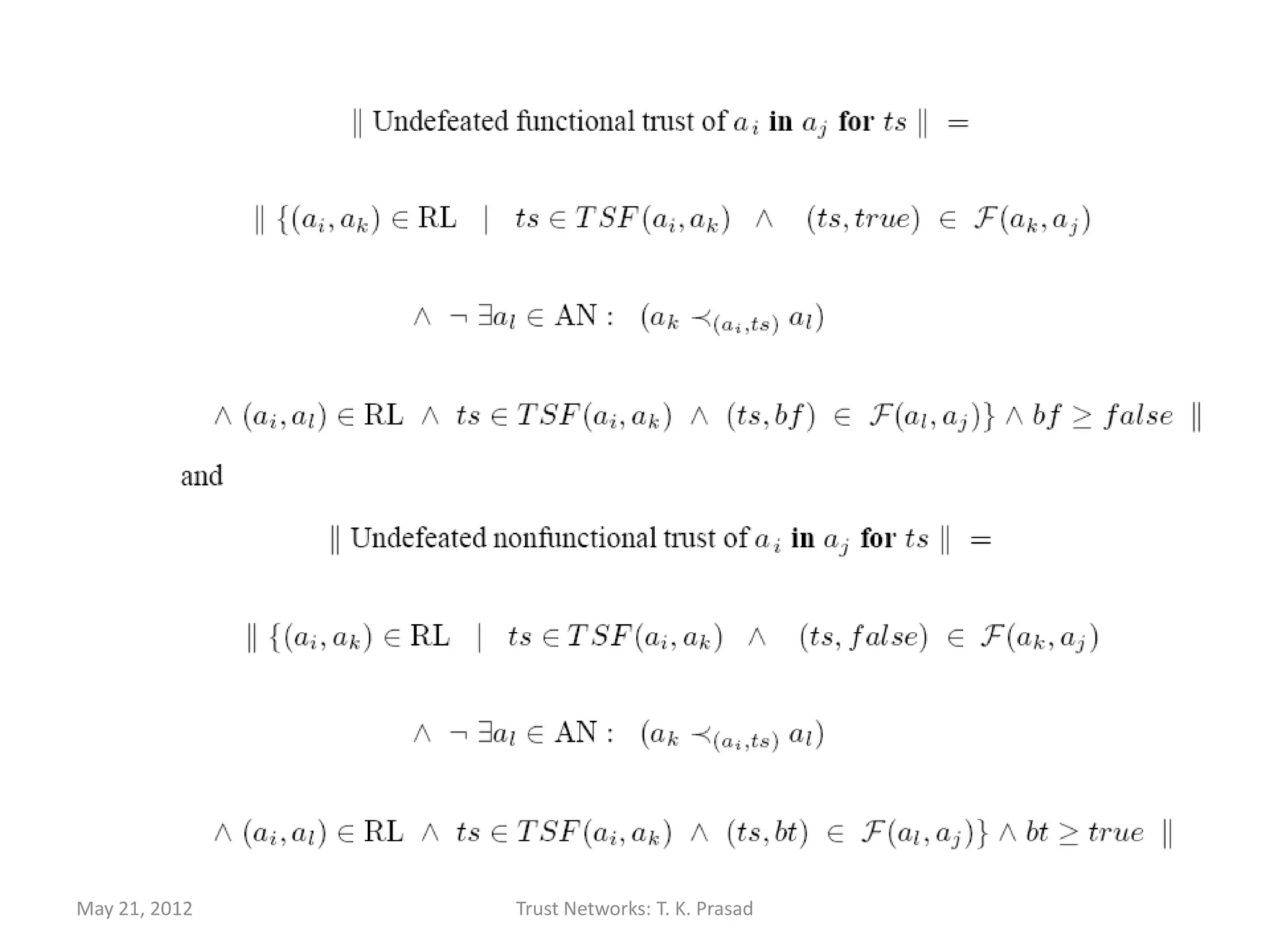
(In recommendations)

                                              (For capacity to act)

                                              (For lack of
                                               capacity to act)
May 21, 2012   Trust Networks: T. K. Prasad                   150
May 21, 2012   Trust Networks: T. K. Prasad   151
May 21, 2012   Trust Networks: T. K. Prasad   152
Similarly for Evidence in support of Negative Functional Trust.


May 21, 2012                        Trust Networks: T. K. Prasad         153
Benefits of Formal Analysis
• Enables   detecting   and                            avoiding
  unintended consequences.
      – An earlier formalization gave priority to “certain“
        conclusion from less trustworthy source over
        “ambiguous“ conclusion from more trustworthy
        source.
The whole problem with the world is
that fools and fanatics are always so
certain of themselves, but wiser people
so full of doubts. — Betrand Russell
May 21, 2012            Trust Networks: T. K. Prasad         154
Practical Issues
• Refinement of numeric ratings using
  reviews in product rating networks
      – Relevance : Separate ratings of vendor or about
        extraneous features from ratings of product
               • E.g., Issues about Amazon’s policies
               • E.g., Publishing under multiple titles (Paul Davies’ “The Goldilock’s
                 Enigma” vs. “Cosmic Jackpot”)
      – Polarity/Degree of support: Check consistency
        between rating and review using sentiment
        analysis; amplify hidden sentiments
               • E.g., rate a phone as 1-star because it is the best 

May 21, 2012                          Trust Networks: T. K. Prasad                       155
Research Issues
• Determination of trust / influence from
  social networks
      – Text analytics on communication
      – Analysis of network topology
               • E.g., follower relationship, friend relationship, etc.
• Determination of untrustworthy and
  anti-social elements in social networks
• HOLY GRAIL: Direct Semantics in favor of
  Indirect Translations
May 21, 2012                      Trust Networks: T. K. Prasad            157
Research Issues
• Improving Security : Robustness to Attack
      – How to exploit different trust processes to detect
        and recover from attacks?
               • Bad mouthing attack
               • Ballot stuffing attack
               • Sleeper attack
                  – Temporal trust discounting proportional to trust value
                  – Using policy-based process to ward-off attack using
                    reputation-based process
               • Sybil attack
               • Newcomer attack
May 21, 2012                       Trust Networks: T. K. Prasad              160
Research Issues
• Intelligent integration of mobile sensor and
  social data for situational awareness
      – To exploit complementary and corroborative
        evidence provided by them
      – To obtain qualitative and quantitative context
      – To improve robustness and completeness
      – To incorporate socio-cultural, linguistic and
        behavioral knowledge as part of ontologies to
        improve semantic processing and analysis of data

May 21, 2012            Trust Networks: T. K. Prasad   161
Complementary and Corroborative
              Information
                                                Sensors observe
                                                  slow moving
                                                     traffic




                                                Complementary
                                                  information
                                                   from social
                                                    networks




May 21, 2012     Trust Networks: T. K. Prasad                     162
Corroborative Evidence

                                                     Evidence for
                                                       reported
                                                     observations




May 21, 2012          Trust Networks: T. K. Prasad                  163
Interpersonal and Ecommerce
                     Networks




May 21, 2012        Trust Networks: T. K. Prasad   164
Research Issues
• Linguistic clues that betray
  trustworthiness
• Experiments for gauging interpersonal
  trust in real world situations
      – *Techniques and tools to detect and amplify
        useful signals in Self to more accurately predict
        trust and trustworthiness in Others

                                                        *IARPA-TRUST program

May 21, 2012             Trust Networks: T. K. Prasad                     165
Research Issues
• Other clues for gleaning trustworthiness
  – Face (in photo) can effect perceived
    trustworthiness and decision making
  –Trust-inducing features of e-commerce
    sites can impact buyers
  – Personal traits: religious beliefs, age,
    gullibility, benevolence, etc
  – Nature of dyadic relationship
May 21, 2012      Trust Networks: T. K. Prasad   166
Research Issues
• Study of cross-cultural differences in
  trustworthiness qualities and trust thresholds
  to better understand
   – Influence
      • What aspects improve influence?
   – Manipulation
      • What aspects flag manipulation?


May 21, 2012       Trust Networks: T. K. Prasad   167
Collaborative Systems :
               Grid and P2P Computing




May 21, 2012          Trust Networks: T. K. Prasad   168
Research Issues
• Trust-aware resource management and
  scheduling
      – Clients specify resource
        preferences/requirements/constraints
• Trust models for P2P systems
      – To detect bad domains
      – To detect bogus recommendations and attacks
                                     Azzedin and Maheshwaran, 2002-2003
                                            Azzedin and Ridha, 2010
                                               Bessis et al, 2011


May 21, 2012           Trust Networks: T. K. Prasad                       169
Bayesian Trust Management Framework :
            Multi-level Trust Metric

               Illustrating a General Approach




                                                         Quercia et al 2006
                                                       Josang and Haller 2007
May 21, 2012            Trust Networks: T. K. Prasad   Thirunarayan et al 2012   170
Outline
• Motivation : Multi-level trust management
• Mathematical Foundation: Dirichlet
  Distribution
• Implementation and Behavior Details:
      – Local Trust Data Structures
      – Trust Formation
      – Bayesian Trust Evolution
• Analysis of Robustness to Attacks: Security
• Evaluation: Example trace vs. experiment
May 21, 2012             Trust Networks: T. K. Prasad   171
Motivation

• Uses K-level discrete trust metric

      – E.g., Amazon’s 5-star trust metric can be
        interpreted as signifying (very untrustworthy,
        untrustworthy, neutral, trustworthy, very
        trustworthy) or (very dissatisfied, dissatisfied,
        neutral, satisfied, very satisfied).


May 21, 2012            Trust Networks: T. K. Prasad   172
Approach
• Multi-level trust management approach
  formalizes     a    distributed,     robust,
  lightweight, computational trust that
  takes into account context, subjectivity,
  and time.
• Applies     Dirichlet     distribution,   a
  generalization of Beta-distribution.

May 21, 2012      Trust Networks: T. K. Prasad   173
Dirichlet Distribution




May 21, 2012         Trust Networks: T. K. Prasad   174
K-level Trust Metric
• K-level trust probability vector:
                  x = (x1, . . ., xK)
             where (x1 + . . . + xK = 1).

• Example: If a 5-star rating system has 50 people
  giving 5-stars, 20 people giving 4-stars, 5 people
  giving 3-stars, 5 people giving 2-stars, and 20 people
  giving 1-star, then the 5-level trust metric probability
  vector is (0.5,0.2,0.05,0.05,0.2).

May 21, 2012          Trust Networks: T. K. Prasad      175
Trust and Experience
• Experience is a realization of latent trust and
  helps predicting trust.
• Probability of an experience-level sequence,
with a1 - 1 counts of level 1 experience, …, aK - 1
counts of level K experience is:


                * ( (a1 +…+ aK – K) ! / (a1-1 ! *…* aK-1 !) )


May 21, 2012             Trust Networks: T. K. Prasad           176
Dirichlet Distribution
• The Dirichlet distribution is the probability
  density function for x = (x1, . . ., xK) given
  (a1,…,aK):




May 21, 2012          Trust Networks: T. K. Prasad   177
Why use Dirichlet Distribution?
• If the prior distribution of x is uniform, then
  the Dirichlet family of distribution shown
  below gives posterior distribution of x after
  ai-1 occurrences of level i experience with
  probability xi, for each i in [1, K]:




May 21, 2012       Trust Networks: T. K. Prasad   178
Why use Dirichlet Distribution?
• Dirichlet distribution is a conjugate prior for
  multinomial distribution.
• Consequence:
      – Estimated distribution updated for a new experience
        at level i, by just incrementing ai parameter.
      – In contrast: if prior distribution is different from
        Dirichlet, then it is conceptually hard to comprehend
        and computationally inefficient to compute posterior
        distribution, in general.
      – Icing on the cake: Uniform distribution (signifying
        ignorance) is Dirichlet!
May 21, 2012             Trust Networks: T. K. Prasad      179
Dirichlet distribution is a conjugate prior
          for multinomial distribution.




May 21, 2012        Trust Networks: T. K. Prasad   180
Why use Dirichlet Distribution?
• Convenient Abstraction
      –Abstraction of K-level Dirichlet
       distribution by combining different
       levels still yields Dirichlet distribution
       with the corresponding parameters
       merged.
               • Conceptually     and                      computationally
                 pleasing property

May 21, 2012                Trust Networks: T. K. Prasad                181
Visualizing Dirichlet Distribution (K=3):
   Color Density plot on 2D simplex




May 21, 2012    Trust Networks: T. K. Prasad   182
Dynamic Trustworthiness
• Best estimate of trust for Dir(a1,...,aK) (gleaned
  from (ai-1) experiences at level i, for all i in [1,K])
  is the mean vector (a1/a0,…,aK/a0), and the
  associated confidence is the variance vector.




May 21, 2012           Trust Networks: T. K. Prasad    183
Implementation and Behavior Details




May 21, 2012     Trust Networks: T. K. Prasad   184
Local Data Structures

• To store relevant information to compute
  direct (functional) and indirect (referral) trust.

• Each node maintains locally, for each peer and
  each context, four vectors of length K.



May 21, 2012         Trust Networks: T. K. Prasad   185
Local Data Structures

•   Direct Trust Vector: Peers X Contexts X Peers -> Probability-Vector-K

• dtv(px,c,py) = (d1,d2,…,dK)

•   Direct Experience Matrix: Peers X Contexts X Peers -> Count-Vector-K

• dem(px,c,py) = (ec1,…,ecK)



May 21, 2012                   Trust Networks: T. K. Prasad                 186
Local Data Structures

•   Recommended Trust Vector: Peers X Contexts X Peers -> Probability-
    Vector-K

• rtv(px,c,py) = (r1,r2,…,rK)
•   Sent Recommendation Matrix: Peers X Contexts X Peers -> Count-Vector-K

• srm(px,c,py) = (sr1,…,srK)



May 21, 2012                 Trust Networks: T. K. Prasad               187
Local Data Structures

• Initialization: To reflect complete
  ignorance via uniform distribution, we
  set the probability vectors dtv and rtv to
  (1/K,…,1/K), and the elements of the
  count vector dem and srm to (0,…,0).
• These are Dirichlet distributed in the
  limiting case where ai’s are 1.
May 21, 2012         Trust Networks: T. K. Prasad   188
Trust Formation
• Overall trust vector is weighted combination
  of direct trust vector and recommended trust
  vector.
• Weights determined using
      – Objective confidence values using variance
        (deviation from the mean)
      – Subjective relative preference for direct
        experience over recommendations
               • Dependence on recommended trust yet to be explored

May 21, 2012                   Trust Networks: T. K. Prasad       189
Trust Decision

• Assuming that trust-level scale is linear, the
  trust distribution vector (d1,d2,…,dK) can be
  mapped to the closed interval [0,1], or to
  consolidated trust level, in order to act.

• Trust threshold should be determined based
  on the context and risk tolerance / disposition
  / propensity to trust.
May 21, 2012       Trust Networks: T. K. Prasad   190
Trust Evolution

• Direct (recommended) trust vectors are updated
  for a new experience (recommendation).
• Key Idea: Dirichlet distribution is the conjugate
  prior of the multinomial distribution. So it is
  adequate to maintain counts of direct experience
  and sent recommendations, to best estimate
  direct trust and recommended trust vectors
  respectively.
May 21, 2012        Trust Networks: T. K. Prasad   191
Trust Evolution
• Simple Scheme (Direct Trust)
 For a new experience at level i,
       dem(px,x,py) = (ec1,…,ecK) becomes
       demnew(px,x,py) = (ec1,…, eci+1,…,ecK)
 and dtv(px,c,py) becomes
       dtvnew(px,c,py) = (d1,d2,…,dK)
 where di = eci+1 / (ec1 + … + eck+1) and
        dj = ecj / (ec1 + … + eck+1)
              for each j in [1,K] and j =/= i.

May 21, 2012         Trust Networks: T. K. Prasad   192
Trust Evolution
• Robust Scheme
To incorporate differential aging of experience
counts as a function of their level (and to
incorporate “long term memory for low-level
experience and short term memory for high-
level experience”),    we use a decay vector
(l1,…,lK), where 1 >= l1 >= … >= lK > 0, that
modifies update rule as:

May 21, 2012      Trust Networks: T. K. Prasad   193
Trust Evolution
• Robust Scheme (Direct Trust)
For a new experience at level i,
      dem(px,x,py) = (ec1,…,ecK) becomes
      demnew(px,x,py) = (ec1,…, eci + 1,…,ecK).
For every clock tick (with context-based delay),
      dem(px,x,py) = (ec1,…,ecK) becomes
      demnew(px,x,py) = (l1*ec1,…, lK*ecK)


May 21, 2012       Trust Networks: T. K. Prasad    194
Trust Evolution
• Robust Scheme (Direct Trust)
For every clock unit and new experience,
       dtv(px,c,py) becomes
      dtvnew(px,c,py) = (d1,d2,…,dK)
      where di = eci / (ec1 + … + eck)
                 for each i in [1,K].
• Subtlety: Experience counts should saturate at
  1 rather than diminish to 0 with time. (See code)
May 21, 2012        Trust Networks: T. K. Prasad   195
Trust Evolution Illustrated

                                Final Trust Distribution        Final Trust Distribution
       Experience Sequence
                                   (Simple Scheme)                 (Robust Scheme)


                [1,1,1]           (0.57,0.14,0.14,0.14)
                                                                 (0.55,0.15,0.15,0.15)

               [1,4,1,4]        (0.375,0.125,0.125,0.375)
                                                                 (0.42,0.14,0.14,0.29)

           [1,1,4,4,4,4,1,1]      (0.42,0.08,0.08,0.42)
                                                                    (0.5,0.1,0.1,0.3)

          [1,1,4,4,4,4,1,1,1]     (0.53,0.07,0.07,0.33)
                                                                   (0.64,0.1,0.1,0.17)

               [2,3,2,3]        (0.125,0.375,0.375,0.125)
                                                                   (0.16,0.4,0.3,0.14)




May 21, 2012                     Trust Networks: T. K. Prasad                              196
Trust Evolution Illustrated
                 Experience     Trust Distribution Trace      Trust Distribution Trace    Beta-pdf
               Sequence Value      (Simple Scheme)               (Robust Scheme)         (cf. n =2)
                                  (0.25,0.25,0.25,0.25)         (0.25,0.25,0.25,0.25)       0.5

                     1              (0.4,0.2,0.2,0.2)              (0.4,0.2,0.2,0.2)       0.33

                     1            (0.5,0.17,0.17,0.17)         (0.53,0.165,0.155,0.15)     0.25

                     1            (0.57,0.14,0.14,0.14)         (0.55,0.15,0.15,0.15)       0.2

                     n           (0.5,0.125,0.125,0.25)          (0.5,0.13,0.12,0.25)      0.33

                     n            (0.44,0.11,0.11,0.33)        (0.46,0.135,0.135,0.27)     0.43

                     n              (0.4,0.1,0.1,0.4)           (0.42,0.12,0.11,0.35)       0.5

                     n             (0.36,0.1,0.1,0.45)          (0.37,0.12,0.12,0.38)      0.55

                     1            (0.42,0.08,0.08,0.41)         (0.47,0.11,0.11,0.31)       0.5

                     1            (0.46,0.08,0.08,0.38)         (0.53,0.11,0.11,0.24)      0.45

                     1            (0.5,0.07,0.07,0.35)             (0.6,0.1,0.1,0.2)       0.41

                     1            (0.53,0.07,0.07,0.33)          (0.65,0.1,0.1,0.14)       0.38

                     n          (0.5,0.0625,0.0625,0.375)          (0.6,0.1,0.1,0.2)       0.43


                     1            (0.53,0.06,0.06,0.35)          (0.64,0.1,0.1,0.17)        0.4


May 21, 2012                            Trust Networks: T. K. Prasad                                  197
May 21, 2012   Trust Networks: T. K. Prasad   198
May 21, 2012   Trust Networks: T. K. Prasad   199
Analysis and Robustness Issues




May 21, 2012       Trust Networks: T. K. Prasad   200
Salient Properties
• Symmetry
      – Simple      Scheme       is    symmetric    w.r.t.
        trust/experience levels while Robust Scheme is
        somewhat asymmetric because of non-uniform
        decay.
      – Experience levels are “preserved” in that
        extreme/controvertial       behavior   (credulous
        interpretation) is treated differently from
        ignorance (skeptical interpretation).

May 21, 2012            Trust Networks: T. K. Prasad    201
Salient Properties
• Effect of Order of Experience

      – Simple Scheme is sensitive to the counts of
        various experience levels, but not to the order of
        experience.

      – Robust Scheme is sensitive to the order of
        experience.


May 21, 2012            Trust Networks: T. K. Prasad    202
Salient Properties
• Differential Aging of experience levels
               • It exhibits limited and selective
                 memory.
                   –It retains low-level experiences
                    much longer than high-level
                    experiences.
                      »Parameters: Decay rate and
                       saturation
May 21, 2012              Trust Networks: T. K. Prasad   203
Related Work on Multi-level Trust
                with Applications
The described approach is similar to Dirichlet Reputation
System [Josang-Haller, 2007].
Applications:
• Browser toolbar for clients to see the user ratings and
  for users to provide ratings (critical surfer model)
  [Josang-Haller, 2007]
• Evaluating partners in Collaborative Environments
  [Yang and Cemerlic, 2009]
• Formalizing Multi-Dimensional Contracts [Reece, et al,
  2007]
• In Collaborative Intrusion Detection System [Fung et al,
  2011 ]

May 21, 2012           Trust Networks: T. K. Prasad     204
Conclusion
• Provided simple examples of trust (Why?)
• Explained salient features of trust (What?)
• Showed examples of gleaning trustworthiness
  (How?)
• Touched upon research challenges in the
  context of
               •   Sensor Networks
               •   Social Networks
               •   Interpersonal Networks
               •   Collaborative Environments
May 21, 2012                      Trust Networks: T. K. Prasad   206
Holy Grail
               for Automatic Trust Computation



Develop     expressive   trust
networks that can be assigned
objective semantics.


May 21, 2012              Trust Networks: T. K. Prasad   207
Thank You!




May 21, 2012   Trust Networks: T. K. Prasad   208

Trust networks

  • 1.
    Trust Networks Krishnaprasad Thirunarayan (T. K. Prasad) Professor, Department of Computer Science and Engineering Kno.e.sis - Ohio Center of Excellence in Knowledge-enabled Computing Wright State University, Dayton, OH-45435 (Collaborators: Pramod Anantharam, Cory Henson, and Professor Amit Sheth) CTS-2012 May 21, 2012 Trust Networks: T. K. Prasad 1
  • 2.
    Broad Outline • Real-lifeMotivational Examples (Why?) • Trust : Characteristics and Related Concepts (What?) • Trust Ontology (What?) – Type, Value, Process, Scope • Gleaning Trustworthiness (How?) + Robustness to Attack – Practical Examples of Trust Metrics – Comparative Analysis of Bayesian Approaches to Trust • Research Challenges (Why-What-How?) – Sensor Networks – Social Networks – Interpersonal • Details of Bayesian Approach to Multi-level Trust May 21, 2012 Trust Networks: T. K. Prasad 2
  • 3.
    Real-life Motivational Examples (Why track trust?) May 21, 2012 Trust Networks: T. K. Prasad 3
  • 4.
    Interpersonal • With whichneighbor should we leave our children over the weekend when we are required to be at the hospital? • Who should be named as a guardian for our children in the Will? May 21, 2012 Trust Networks: T. K. Prasad 4
  • 5.
    Social • In Email: – SUBJECT: [TitanPad] Amit Sheth invited you to an EtherPad document. – CONTENT: View it here: http://knoesis.titanpad.com/200 • Issue: Is the request genuine or a trap? May 21, 2012 Trust Networks: T. K. Prasad 5
  • 6.
    Social • To clickor not to click a http://bit.ly-URL • To rely or not to rely on a product review (when only a few reviews are present, or the reviews are conflicting)? May 21, 2012 Trust Networks: T. K. Prasad 6
  • 7.
    Sensors • Weather sensornetwork predicts a potential tornado in the vicinity of a city. • Issue: Should we mobilize emergency response teams ahead of time? • Van’s TCS (Traction Control System) indicator light came on intermittently, while driving. • Issue: Which is faulty: the indicator light or the traction control system? • Van’s Check Engine light came on, while driving. • Issue: Which is faulty: the indicator light or the transmission? May 21, 2012 Trust Networks: T. K. Prasad 7
  • 8.
    Man-Machine Hybrid Collaborative Systems The 2002 Uberlingen Mid-air Collision (between Bashkirian Airlines Flight 2937 and DHL Flight 611) occurred because the pilot of one of the planes trusted the human air traffic controller (who was ill-informed about the unfolding situation), instead of the electronic TCAS system (which was providing conflicting but correct course of action to avoid collision). http://en.wikipedia.org/wiki/2002_Uberlingen_mid-air_collision May 21, 2012 Trust Networks: T. K. Prasad 8
  • 9.
    Man-Machine Hybrid Collaborative Systems In hybrid situations, artificial agents should reason about the trustworthiness and deceptive actions of their human counter parts. People and agents in virtual communities will deceive, and will be deceived. Castelfranchi and Tan, 2002 May 21, 2012 Trust Networks: T. K. Prasad 9
  • 10.
    Common Issues andContext • Uncertainty – About the validity of a claim or assumption – Past Experience : Vulnerability • Need for action • Critical decision with potential for loss May 21, 2012 Trust Networks: T. K. Prasad 10
  • 11.
    Commonality among TrustDefinitions* • a Trustor – someone who must choose whether, and how much, to trust • a Trustee – someone or something that is to be trusted • an Action – by which the trustor is choosing to be vulnerable to the trustee based on an assessment of trustee’s nature • a Context – in which the potential negative consequences of betrayal outweigh any perceived positive results. *http://www.iarpa.gov/rfi_trust.html May 21, 2012 Trust Networks: T. K. Prasad 11
  • 12.
    Sources of uncertainty •In social network, trustor’s incomplete knowledge or trustee’s devious intentions. • In sensor network, unpredictable environment (e.g., random phenomenon), or sensor faults (e.g., due to aging), leading to corrupt data. • In cognitive radio networks, unpredictable channel noise or traffic. • Interpersonal examples – Irresponsible / selfish / greedy / vengeful traits May 21, 2012 Trust Networks: T. K. Prasad 12
  • 13.
    Why Track Trust? •In Mobile Ad Hoc Networks (MANETs), trust enables dynamic determination of secure routes. – Efficiency: To improve throughput • By avoiding nodes facing bad channel condition – Robustness : To detect malicious nodes • When attackers enter the network in spite of secure key distribution/authentication May 21, 2012 Trust Networks: T. K. Prasad 13
  • 14.
    Why Track Trust? •In sensor networks, it allows detection of faults and transient bad behaviors due to environmental effects. • In cognitive radio networks, it can enable selection of optimal channel (less noisy, less crowded channels). May 21, 2012 Trust Networks: T. K. Prasad 14
  • 15.
    Why Track Trust? •In E-commerce: –To predict future behavior in a reliable manner. –To incentivize “good” behavior and discourage “bad” behavior. –To detect malicious entities. May 21, 2012 Trust Networks: T. K. Prasad 15
  • 16.
    The Two Sidesof Trust • Trustor assesses trustee for dependability. • Trustee casts itself in positive light to trustor. • Trust is a function of trustee's perceived trustworthiness and the trustor's propensity to trust. May 21, 2012 Trust Networks: T. K. Prasad 16
  • 17.
    Risk/uncertainty mitigation • Compensatingfactors that alter trust threshold • In e-commerce, warranties and insurance reduce risk. • In sensor networks, redundancy enables filtering of corrupt data. • In interpersonal situations, close ties help. May 21, 2012 Trust Networks: T. K. Prasad 17
  • 18.
    Trust and RelatedConcepts (What is trust?) May 21, 2012 Trust Networks: T. K. Prasad 18
  • 19.
    Trust Definition :Psychology slant Trust is the psychological state comprising a willingness to be vulnerable in expectation of a valued result. Ontology of Trust, Huang and Fox, 2006 Josang et al’s Decision Trust May 21, 2012 Trust Networks: T. K. Prasad 19
  • 20.
    Trust Definition :Psychology slant Trust in a person is a commitment to an action based on a belief that the future actions of that person will lead to good outcome. Golbeck and Hendler, 2006 May 21, 2012 Trust Networks: T. K. Prasad 20
  • 21.
    Trust Definition :Probability slant Trust (or, symmetrically, distrust) is a level of subjective probability with which an agent assesses that another agent will perform a particular action, both before and independently of such an action being monitored … Can we Trust Trust?, Diego Gambetta, 2000 Josang et al’s Reliability Trust May 21, 2012 Trust Networks: T. K. Prasad 21
  • 22.
    Trustworthiness Definition : Psychology Slant Trustworthiness is a collection of qualities of an agent that leads them to be considered as deserving of trust from others (in one or more environments, under different conditions, and to different degrees). http://www.iarpa.gov/rfi_trust.html May 21, 2012 Trust Networks: T. K. Prasad 22
  • 23.
    Trustworthiness Definition : Probability slant Trustworthiness is the objective probability that the trustee performs a particular action on which the interests of the trustor depend. Solhaug et al, 2007 May 21, 2012 Trust Networks: T. K. Prasad 23
  • 24.
    Trust vs Trustworthiness: My View Trust Disposition Depends on Potentially Quantified Trustworthiness Qualities + Context-based Trust Threshold E.g.*, In the context of trusting strangers, people in the West will trust for lower levels of trustworthiness than people in the Gulf. *Bohnet et al, 5/2010 May 21, 2012 Trust Networks: T. K. Prasad 24
  • 25.
    Qualitative Trust Dispositions (depends on Trust Threshold) http://paulenglish.com/trust.html May 21, 2012 Trust Networks: T. K. Prasad 25
  • 26.
    (Community-based) Reputation • Reputation*is the community or public estimation of standing for merit, achievement, reliability, etc. *dictionary.com • Reputation** is the opinion (or a social evaluation) of a community toward a person, a group of people, or an organization on a certain criterion. **Wikipedia • Cf. Brand-value, PageRank, eBay profile, etc. May 21, 2012 Trust Networks: T. K. Prasad 28
  • 27.
    Trust vs. (Community-based) Reputation Reputation can be a basis for trust. However, they are different notions*. • I trust you because of your good reputation. • I trust you despite your bad reputation. • Do you still trust Toyota brand? *Josang et al, 2007 May 21, 2012 Trust Networks: T. K. Prasad 29
  • 28.
    Trust vs. (Community-based) Reputation Trust :: Reputation :::: Local :: Global :::: Subjective :: Objective (Cf. Security refers to resistance to attacks.) May 21, 2012 Trust Networks: T. K. Prasad 30
  • 29.
    Reputation is Overloaded Community-based Reputation vs. Temporal Reputation (Cf. Sustained good behavior over time elicits temporal reputation-based trust.) May 21, 2012 Trust Networks: T. K. Prasad 31
  • 30.
    Trust is well-known, but is not well-understood. The utility of a notion testifies not to its clarity but rather to the philosophical importance of clarifying it. -- Nelson Goodman (Fact, Fiction and Forecast, 1955) May 21, 2012 Trust Networks: T. K. Prasad 34
  • 31.
    Trust Ontology (What is trust?) Illustration of Knowledge Representation and Reasoning: Relating Semantics to Data Structures and Algorithms May 21, 2012 Trust Networks: T. K. Prasad 35
  • 32.
    Example Trust Network- Different Trust Links with Local Order on out-links • Alice trusts Bob for recommending good car mechanic. • Bob trusts Dick to be a good car mechanic. • Charlie does not trust Dick to be a good car mechanic. • Alice trusts Bob more than Charlie, for recommending good car mechanic. • Alice trusts Charlie more than Bob, for recommending good baby sitter. *Thirunarayan et al, IICAI 2009 May 21, 2012 Trust Networks: T. K. Prasad 36
  • 33.
    Digression: Illustration ofKnowledge Representation and Reasoning • Abstract and encode clearly delineated “subarea” of knowledge in a formal language. – Trust Networks => node-labeled, edge-labeled directed graph (DATA STRUCTURES) • Specify the meaning in terms of how “network elements” relate to or compose with each other. – Semantics of Trust, Trust Metrics => using logic or probabilistic basis, constraints, etc. (SEMANTICS) • Develop efficient graph-based procedures – Trust value determination/querying (INFERENCE ALGORITHMS) May 21, 2012 Trust Networks: T. K. Prasad 37
  • 34.
    (In recommendations) (For capacity to act) (For lack of capacity to act) May 21, 2012 Trust Networks: T. K. Prasad 38
  • 35.
    Trust Ontology* 6-tuple representinga trust relationship: {type, value, scope, process} trustor trustee Type – Represents the nature of trust relationship. Value – Quantifies trustworthiness for comparison. Scope – Represents applicable context for trust. Process – Represents the method by which the value is created and maintained. *Anantharam et al, NAECON 2010 May 21, 2012 Trust Networks: T. K. Prasad 39
  • 36.
    Trust Ontology: Trust Type, Trust Value, and Trust Scope  Trust Type*  Referral Trust – Agent a1 trusts agent a2’s ability to recommend another agent.  (Non-)Functional Trust – Agent a1 (dis)trusts agent a2’s ability to perform an action.  Cf. ** trust in belief vs. trust in performance  Trust Value  E.g., Star rating, numeric rating, or partial ordering.  Trust Scope*  E.g., Car Mechanic context. *Thirunarayan et al, IICAI 2009 ** Huang and Fox, 2006 May 21, 2012 Trust Networks: T. K. Prasad 40
  • 37.
    Multidimensional / Orthogonal Trust Scopes in Ecommerce • Trust in a vendor to deliver on commitments • Trust in vendor's ethical use of consumer data • Trust in Internet communication being secure. • Plus: Propensity/Disposition to trust May 21, 2012 Trust Networks: T. K. Prasad 41
  • 38.
    Trust Ontology: Trust Process  Represents the method by which the value is computed and maintained.  Primitive (for functional and referral links)*  Reputation – based on past behavior (temporal) or community opinion.  Policy – based on explicitly stated constraints.  Evidence – based on seeking/verifying evidence.  Provenance – based on lineage information.  Composite (for admissible paths)**  Propagation (Chaining and Aggregation) *Anantharam et al, NAECON 2010 **Thirunarayan et al, IICAI 2009 May 21, 2012 Trust Networks: T. K. Prasad 44
  • 39.
    Trust Ontology May 21,2012 Trust Networks: T. K. Prasad 46
  • 40.
    Example Trust Networkillustrating Ontology Concepts Dick is a Bob is a car certified aficionado mechanic type: referral process: reputation scope: car mechanic value: TAB Bob type: functional process: policy TAB > TAC scope: car mechanic ASE certified value: 10 type: referral Alice process: reputation scope: car mechanic type: non-functional value: TAC process: reputation scope: car mechanic Dick value: 3 47 Charlie
  • 41.
    Unified Illustration ofTrust Processes Scenario : Hiring Web Search Engineer - An R&D Position Various Trust Processes : • (Temporal-based) Reputation: Past job experiences • (Community-based) Reputation: Multiple references • Policy-based: Score cutoffs on screening test • Provenance-based: Department/University of graduation • Evidence-based: Multiple interviews (phone, on- site, R&D team) May 21, 2012 Trust Networks: T. K. Prasad 48
  • 42.
    Deception • Deception is the betrayal of trust. –Ironically, trust makes us prone to deception. –Knowing what features are used to glean trustworthiness can also assist in avoiding detection while deceiving. May 21, 2012 Trust Networks: T. K. Prasad 49
  • 43.
    Gleaning Trustworthiness : Practical Examples (How to determine trustworthiness?) May 21, 2012 Trust Networks: T. K. Prasad 50
  • 44.
    Trust Metric andTrust Model • Trust Metric => How is primitive trust represented? • E.g., Real number, Finite levels, Partial Order, Opinion = (belief, disbelief, uncertainty), etc. • Trust Model => How is composite trust computed or propagated? Y. L. Sun, et al, 2/2008 May 21, 2012 Trust Networks: T. K. Prasad 51
  • 45.
    Ideal Approach • Capturesemantics of trust using – axioms for trust propagation, or – catalog of example trust networks that are equivalent. • Develop trust computation rules for propagation (that is, chaining and aggregation) that satisfy the axioms or equivalence relation. May 21, 2012 Trust Networks: T. K. Prasad 52
  • 46.
    Direct Trust :Functional and Referral Reputation-based Process (Using large number of observations) May 21, 2012 Trust Networks: T. K. Prasad 53
  • 47.
    Reputation-based Frameworks • CentralizedTrust Authority – E.g., E-commerce systems, etc. • Distributed Trust Representation and Computation (using Bayesian analytics) – E.g., MANETs, peer-to-peer networks, etc. May 21, 2012 Trust Networks: T. K. Prasad 54
  • 48.
    Using Large Numberof Observations • Over time (<= Referral + Functional) : Temporal Reputation-based Process – Mobile Ad-Hoc Networks – Sensor Networks • Quantitative information (Numeric data) • Over agents (<= Referral + Functional) : Community Reputation-based Process – Product Rating Systems • Quantitative + Qualitative information (Numeric + text data) May 21, 2012 Trust Networks: T. K. Prasad 55
  • 49.
    Desiderata for Trustworthiness Computation Function • Initialization Problem : How do we get initial value? • Update Problem : How do we reflect the observed behavior in the current value dynamically? • Trusting Trust* Issue: How do we mirror uncertainty in our estimates as a function of observations? • Law of Large Numbers: The average of the results obtained from a large number of trials should be close to the expected value. • Efficiency Problem : How do we store and update values efficiently? *Ken Thompson’s Turing Award Lecture: “Reflections on Trusting Trust” May 21, 2012 Trust Networks: T. K. Prasad 56
  • 50.
    Mathematical Background Beta PDF for Reputation May 21, 2012 Trust Networks: T. K. Prasad 57
  • 51.
    Beta-distribution : Gently •Consider a (potentially unfair) coin that comes up HEADS with probability p and TAILS with probability (1 – p). • Suppose we perform ( r + s ) coin tosses and the coin turns up with HEADS r times and with TAILS s times. • What is the best estimate of the distribution of the probability p given these observations? => Beta-distribution with parameters ( r+1, s+1 ) f(p; r+1, s+1) May 21, 2012 Trust Networks: T. K. Prasad 58
  • 52.
    Beta Probability DensityFunction(PDF) x is a probability, so it ranges from 0-1 If the prior distribution of x is uniform, then the beta distribution gives posterior distribution of x after observing a-1 occurrences of event with probability x and b-1 occurrences of the complementary event with probability (1-x). May 21, 2012 Trust Networks: T. K. Prasad 59
  • 53.
    a = b,so the pdf’s are symmetric w.r.t 0.5. Note that the graphs get narrower as (a+b) increases. a= 2 a= 1 b= 2 b= 1 a= 5 a= 10 b= 5 b= 10 May 21, 2012 Trust Networks: T. K. Prasad 60
  • 54.
    a ≠ b,so the pdf’s are asymmetric w.r.t . 0.5. Note that the graphs get narrower as (a+b) increases. a= 5 a= 5 b= 25 b= 10 a= 25 a= 10 b= 5 b= 5 May 21, 2012 Trust Networks: T. K. Prasad 61
  • 55.
    Beta-distribution - Applicability •Dynamic trustworthiness can be characterized using beta probability distribution function gleaned from total number of correct (supportive) r = (a-1) and total number of erroneous (opposing) s = (b-1) observations so far. • Overall trustworthiness (reputation) is its mean: a/a +b May 21, 2012 Trust Networks: T. K. Prasad 63
  • 56.
    Why Beta-distribution? • Intuitivelysatisfactory, Mathematically precise, and Computationally tractable • Initialization Problem : Assumes that all probability values are equally likely. • Update Problem : Updates (a, b) by incrementing a for every correct (supportive) observation and b for every erroneous (opposing) observation. • Trusting Trust Issue: The graph peaks around the mean, and the variance diminishes as the number of observations increase, if the agent is well-behaved. • Efficiency Problem: Only two numbers stored/updated. May 21, 2012 Trust Networks: T. K. Prasad 64
  • 57.
    Information Theoretic Interpretation of Trustworthiness Probability • Intuitively, probability values of 0 and 1 imply certainty, while probability value of 0.5 implies a lot of uncertainty. • This can be formalized by mapping probability in [0,1] to trust value in [–1,1], using information theoretic approach. Y. L. Sun, et al, 2/2008 May 21, 2012 Trust Networks: T. K. Prasad 65
  • 58.
    Information Theoretic Interpretation of Trustworthiness Probability • T(trustee : trustor, action) = if 0.5 <= p then 1 – H(p) /* 0.5 <= p <= 1 */ else H(p) – 1 /* 0 <= p <= 0.5 */ where H(p) = – p log2(p) – (1 – p) log2(1 – p) May 21, 2012 Trust Networks: T. K. Prasad 66
  • 59.
    Plot of T(trustee: trustor, action) vs. p Trust portion (p in [0.5,1]) Distrust portion (p in [0,0.5]) May 21, 2012 Trust Networks: T. K. Prasad 68
  • 60.
    Linear vs NonlinearMap Relative to computing trust as T(trustee : trustor, action) = ( p – 0.5 ) * 2 to map of trust probability p in [0,1] to a trust value in [-1,+1], the information theoretic formulation yields a non-linear map that amplifies the effect of changes to trust probability on the trust value at the extremes. May 21, 2012 Trust Networks: T. K. Prasad 69
  • 61.
    Direct Trust :Functional Policy-based Process (Using Trustworthiness Qualities) May 21, 2012 Trust Networks: T. K. Prasad 70
  • 62.
    General Approach toTrust Assessment • Domain dependent qualities for determining trustworthiness – Based on Content / Data – Based on External Cues / Metadata • Domain independent mapping to trust values or levels – Quantification through abstraction and classification May 21, 2012 Trust Networks: T. K. Prasad 71
  • 63.
    Example: Wikipedia Articles •Quality (content-based) – Appraisal of information provenance • References to peer-reviewed publication • Proportion of paragraphs with citation – Article size • Credibility (metadata-based) – Author connectivity – Edit pattern and development history • Revision count • Proportion of reverted edits - (i) normal (ii) due to vandalism • Mean time between edits • Mean edit length. Sai Moturu, 8/2009 May 21, 2012 Trust Networks: T. K. Prasad 72
  • 64.
    (cont’d) • Quantification ofTrustworthiness – Based on Dispersion Degree Score (Extent of deviation from mean) • Evaluation Metric – Ranking based on trust level (determined from trustworthiness scores), and compared to gold standard classification using Normalized Discounted Cumulative Gain (NDCG) • RATINGS: featured, good, standard, cleanup, and stub. • NDCG: penalizes more heavily errors at the top. May 21, 2012 Trust Networks: T. K. Prasad 73
  • 65.
    Example: Websites • Trustworthinessestimated based on criticality of data exchanged. • Email address / Username / password • Phone number / Home address • Date of birth • Social Security Number / Bank Account Number • Intuition: A piece of data is critical if and only if it is exchanged with a small number of highly trusted sites. May 21, 2012 Trust Networks: T. K. Prasad 74
  • 66.
    Indirect Trust :Referral + Functional Variety of Trust Metrics and Models (Using Propagation – Chaining and Aggregation over Paths) May 21, 2012 Trust Networks: T. K. Prasad 75
  • 67.
    Collaborative Filtering • CollaborativeFiltering: Item-rating by a user predicted on the basis of user’s similarity to other users. • Similarity Measures: • Profile-based • Item-ratings-based • Item-category-based May 21, 2012 Trust Networks: T. K. Prasad 78
  • 68.
    Collaborative Filtering • Pros: – Items-agnostic – Scales well over time with large number of items • Cons: – Data Sparsity Problem: Small number of common items between users. – Cold Start Users: Small number of items rated by a user. – Prone to Copy-Profile Attack: An attacker can create a targeted-user-like profile to manipulate recommendations. Massa-Avesani, 2007 May 21, 2012 Trust Networks: T. K. Prasad 79
  • 69.
    Trust-aware Recommender System •TaRS uses explicit/direct trust between users to predict implicit/indirect trust between users through chaining. • Collaborative Filtering Limitations Overcome: – Mitigates Data Sparsity: Trust propagation is more general and improves coverage. – Bootstraps Cold Start Users: A single trust link from a new user can enable the user to inherit several “parental” recommendations. – Robust w.r.t Copy-Profile Attack: Fake identities are not trusted by an active user. Massa-Avesani, 2007 May 21, 2012 Trust Networks: T. K. Prasad 80
  • 70.
    Trust Propagation Frameworks •Chaining, Aggregation, and Overriding Golbeck – Hendler, 2006 Massa-Avesani, 2005 Sun et al, 2006 Bintzios et al, 2006 Thirunarayan et al, 2009 • Trust Management Richardson et al, 2003 • Abstract properties of operators • Reasoning with trust Guha et al., 2004 • Matrix-based trust propagation • The Beta-Reputation System • Algebra on opinion = (belief, disbelief, uncertainty) Josang and Ismail, 2002 May 21, 2012 Trust Networks: T. K. Prasad 81
  • 71.
    Trust Propagation Algorithms •Top-down • 1: Extract trust DAG (eliminate cycles) • 2: Predict trust score for a source in a target by aggregating trust scores in target inherited from source’s “trusted” parents weighted with trust value in the corresponding parent. –Computation is level-by-level –Alternatively, computation can be based on paths. Golbeck – Hendler, 2006 May 21, 2012 Trust Networks: T. K. Prasad 82
  • 72.
    Trust Propagation Algorithms •Bottom-up • 1: Extract trust DAG (eliminate cycles) • 2: Predict trust score for a source in a target by aggregating trust scores in target inherited from target’s “trusted” neighbors weighted with trust value in the corresponding neighbor. –Computation is level-by-level –Alternatively, computation can be based on paths. Massa-Avesani, 2005 Bintzios et al, 2006 May 21, 2012 Trust Networks: T. K. Prasad 83
  • 73.
    Top-down vs Bottom-up(visualized) Target w1 w3 Target w2 Trust-Network w1 w2 w3 source source May 21, 2012 Trust Networks: T. K. Prasad 84
  • 74.
    Example: Comparative Analysis Different Interpretation: q distrusts s (Bintzios et al’s) vs q has no information about the trustworthiness of s (our’s, Golbeck rounding algorithm) May 21, 2012 Trust Networks: T. K. Prasad 85
  • 75.
    Example: Well-founded Cyclic Trust Network Thirunarayan and Verma, 2007 May 21, 2012 Trust Networks: T. K. Prasad 87
  • 76.
    Example: Using TidalTrustAlgorithm May 21, 2012 Trust Networks: T. K. Prasad 88
  • 77.
    Indirect Trust :Referral + Functional Variety of Bayesian Trust Models With Applications to Mobile Ad hoc Networks Wireless Sensor Networks, etc. May 21, 2012 Trust Networks: T. K. Prasad 89
  • 78.
    Direct Trust :Functional and Referral • Trust link: {subject : agent, action} • For MANETs (resp. cognitive radio) – Functional => Packet Forwarding (resp. quality of spectrum / channel) – Referral => Recommendations Based on beta-reputation model: Probability for trust = (S + 1) / (S + F +2) where S = Number of good actions F = Number of bad actions May 21, 2012 Trust Networks: T. K. Prasad 90
  • 79.
    Direct Trust :Functional and Referral • Direct Trust for Packet Forwarding • S = Number of packets forwarded • F = Number of packets dropped • S + F = Total number of requests for packet forwarding • Direct Trust for Recommendations • S = Number of times observed direct trust for packet forwarding approximates expected indirect trust for packet forwarding (trust over transit path : r+f) • F = Number of times observed direct trust for packet forwarding does not approximate expected indirect trust for packet forwarding (trust over transit path : r+f) May 21, 2012 Trust Networks: T. K. Prasad 91
  • 80.
    Indirect Trust :Functional and Referral • Indirect Trust for Packet Forwarding – Used when direct trust is not available »(overriding behavior) • Chain links for a path from a recommender to the target – Multiplicative • Aggregate over multiple (parallel) paths from recommenders to the target – Unclear, in general • Indirect Trust for Recommendations • Obtained implicitly through computed referral trust May 21, 2012 Trust Networks: T. K. Prasad 92
  • 81.
    Trust Propagation Rules: Axioms for Trust Models Rule 1: Concatenation propagation does not increase trust. |T(A1,C1)| <= min(|R(A1,B1)|, |T(B1,C1)|) Rule 2: Multipath propagation does not reduce trust. 0<=T(A1,C1) <= T(A2,C2) for R1 > 0 and T2 >= 0 0>=T(A1,C1) >= T(A2,C2) for R1 > 0 and T2 < 0 May 21, 2012 Trust Networks: T. K. Prasad Sun et al, 2006 93
  • 82.
    (cont’d) Rule 3:Trust based on multiple referrals from a single source should not be higher than that from independent sources. 0<=T(A1,C1) <= T(A2,C2) for R1, R2, R3 > 0 and T2 >= 0 0>=T(A1,C1) >= T(A2,C2) for R1, R2, R3 > 0 and T2 < 0 May 21, 2012 Trust Networks: T. K. Prasad Sun et al, 2006 94
  • 83.
    Trust Propagation Rules: Implementation 1 2 May 21, 2012 Trust Networks: T. K. Prasad Sun et al, 2006 95
  • 84.
    Trust Paths Visualizedfor Scalability: Semantics unclear based on Sun et al’s spec Bottom-up computation reflects our needs better? May 21, 2012 Trust Networks: T. K. Prasad 101
  • 85.
    Trust : Functionaland Referral • Direct Trust for Primitive Actions based on • S = Number of success actions • F = Number of failed actions • S + F = Total number of actions • Indirect Trust via Recommendations based on summing direct experiences of recommenders • Sk = Number of success actions for kth recommender • Fk = Number of failed actions for kth recommender • No chaining for referrals Denko-Sun 2008 May 21, 2012 Trust Networks: T. K. Prasad 104
  • 86.
    Cumulative Trust using Direct Experience and Recommendations • Cumulative Trust is obtained by using total number of success actions and failed actions from direct experience (ns,nu) and from i (indirect experiences through) recommendations (nsr,nur). May 21, 2012 Trust Networks: T. K. Prasad 105
  • 87.
    Contents of [Ganeriwalet al, 2007] Paper • (a,b)-parameters to compute trust of i in j is obtained by combining direct observations (aj,bj) with indirect observations (ajk,bjk) from k weighted by (ak,bk) using [Josang-Ismail, 2002] chaining/discounting rule. • Obtains cumulative trust by combining direct trust from a functional link and indirect trusts using paths containing one referral link and one functional link. • However, it does not distinguish functional and referral trust. May 21, 2012 Trust Networks: T. K. Prasad 106
  • 88.
    Trust Propagation Rules: Beta Reputation System 1 2 May 21, 2012 Trust Networks: T. K. Prasad Josang and Ismail, 2002 107
  • 89.
    Trust Propagation Rules: Beta Reputation System 1 2 Rule 1: Concatenation propagation (reputation discounting) r = 2*r1 * r2 / (s1+2)(r2+s2+2)+2*r1 s = 2*r1 * s2 / (s1+2)(r2+s2+2)+2*r1 Rule 2: Multipath propagation (combining feedback) r = r1 + r2 s = s1 + s2 Rule *: Temporal Decay (Forgetting) May 21, 2012 Trust Networks: T. K. Prasad Josang and Ismail, 2002 108
  • 90.
    Contents of [B-Trust,2006] Paper • Uses generic K-level discrete trust metric (as opposed to 2-level metric) – E.g., (very untrustworthy, untrustworthy, trustworthy, very trustworthy) – E.g., reminiscent of Amazon recommendation ratings • Distributed (local), robust, lightweight, computational trust that takes into account context, subjectivity, and time – a la reputation-based approach • Application: Pervasive computing May 21, 2012 Trust Networks: T. K. Prasad 109
  • 91.
    BUG -> FLAWEDLEARNING? • The approach does not clearly separate the use of stable background knowledge for applying Bayes’ rule, from the need to dynamically learn background knowledge for gleaning trust from experience. • As a result, the initial trust values do not change in response to experience. May 21, 2012 Trust Networks: T. K. Prasad 110
  • 92.
    Comparative Analysis [Menko-T.Sun] :Beta-distribution based • Direct functional trust and indirect functional trust (through direct referrals). – Trivial chaining. – One fixed context, local and distributed. • Robustness improved by dropping extreme recommendations, though recommenders not distinguished. May 21, 2012 Trust Networks: T. K. Prasad 111
  • 93.
    Comparative Analysis [Ganeriwal etal]: Beta-distribution based • Functional and Referral trust mixed up. – Context glossed over, local and distributed. • Robustness improved by chaining trust links of length 2, using Josang-Ismail opinion composition. – Recommenders distinguished. – Chaining weighs recommendations by recommender trust. May 21, 2012 Trust Networks: T. K. Prasad 112
  • 94.
    Comparative Analysis [Y. Sunet al]: Beta-distribution based • Functional and Referral trust separated. • One Context, hybrid (dynamically formed trust network) and distributed. • Information-theoretic approach • Axiomatic specification and implementation of trust propagation (chaining and aggregation) • Incomplete w.r.t. arbitrary trust networks • Robustness and Quality improved by analyzing dynamically formed trust network. May 21, 2012 Trust Networks: T. K. Prasad 113
  • 95.
    Comparative Analysis [B-Trust etal]: Multi-valued trust - Bayesian • Functional and Referral trust separated. – Context-based, local and distributed. • Individualized aggregation, trivial chaining. • Nice roadmap for theory, specification, and implementation of trust networks – Multi-valued Trust evolution : novel but buggy. May 21, 2012 Trust Networks: T. K. Prasad 114
  • 96.
    Comparative Analysis [MLT-Approach]: Multi-leveltrust using Dirichlet Distribution • Functional and Referral trust separated. – Context-based, local and distributed. • Individualized aggregation, trivial chaining. • Based on B-Trust roadmap but MLT evolution based on Dirichlet distribution: conceptually satisfactory and computationally efficient • Example-based analysis for insights May 21, 2012 Trust Networks: T. K. Prasad 115
  • 97.
    Security Issues: Threats and Vulnerabilities Attacks and Robustness Analysis May 21, 2012 Trust Networks: T. K. Prasad 116
  • 98.
    Attacks • Trust Managementis an attractive target for malicious nodes.  Bad mouthing attack (Defamation)  Dishonest recommendations on good nodes (calling them bad)  Ballot stuffing attack (Collusion)  Dishonest recommendations on bad nodes (calling them good)  Sybil attack  Creating Fake Ids  Newcomer attack  Registering as new nodes May 21, 2012 Trust Networks: T. K. Prasad 117
  • 99.
    Attacks • Inconsistency intime-domain  On-Off attack  Malicious node behaves good and bad alternatively to avoid detection  Sleeper attack  Malicious node acquires high trust by behaving good and then strikes by behaving bad  Inconsistency in node-domain  Conflicting Behavior Attack  Provide one recommendation to one set of peers and a conflicting recommendation to a disjoint set of peers May 21, 2012 Trust Networks: T. K. Prasad 118
  • 100.
    Security : Robustnessw.r.t Attacks  Bad mouthing attack  Example: Competent nodes downplay competitions.  Example: Can diminish throughput due to lost capacity.  Approach:  Separate functional and referral trust, updating referral trust to track good recommendations  Trust composition rules ensure that low or negative referral trust does not impact decision  Low trust nodes can be branded as malicious and avoided. (Not viable if majority collude.) May 21, 2012 Trust Networks: T. K. Prasad 119
  • 101.
    Security : Robustnessw.r.t Attacks  Ballot stuffing attack  Example: Malicious nodes collude to recommend each other.  Example: Can cause unexpected loss of throughput.  Approach:  Feedback : Cross-check actual functional performance with expected behavior via referral, and update (reward/penalize) referral trust (in parent) accordingly (in addition to updating functional trust (in target)) May 21, 2012 Trust Networks: T. K. Prasad 120
  • 102.
    Security : Robustnessw.r.t. Attacks  Sybil attack  Create Fake Ids to take blame for malicious behavior (dropping packets)  Newcomer attack  Register as new node to erase past history  Approach  Requires separate (key-based or security token- based) authentication mechanism (with TTP) to overcome these attacks. May 21, 2012 Trust Networks: T. K. Prasad 121
  • 103.
    Security : Robustnessw.r.t Attacks  On-Off attack  Sleeper attack  Example: Due to malice or environmental changes  Approach:  Use forgetting factor (0<=b<=1): k good/bad actions at t1 = k * b(t2 – t1) good/bad actions at t2 (> t1) May 21, 2012 Trust Networks: T. K. Prasad 122
  • 104.
    Forgetting Factor k good/bad actions at t1 = k * b(t2 – t1) good/bad actions at t2 (> t1) • High b value (0.9) enhances memorized time window, while low b value (0.001) reduces it. – High b enables malicious nodes (on-off/sleeper attackers) to use prior good actions to mask subsequent intentional bad actions. • Reduces reliability. – Low b forces legitimate nodes to be avoided due to short spurts of unintentional bad actions. • Reduces throughput. May 21, 2012 Trust Networks: T. K. Prasad 123
  • 105.
    Adaptive Forgetting Factor •Intuition: Bad actions are remembered for a longer duration than good actions. • Actions performed with high trust forgotten quicker than actions performed with low trust. Choose b equal to ( 1 – p ) Choose b = 0.01 when p in [0.5,1] else 0.9  Example: Similar ideas used in Ushahidi  Note: Effectively, more good actions are necessary to compensate for fewer bad actions, to recover trust. May 21, 2012 Trust Networks: T. K. Prasad 124
  • 106.
    Security : Robustnessw.r.t. Attacks  Conflicting Behavior Attack  Malicious node divide and conquer, by behaving differently (resp. by providing different recommendations) to different peers, causing peers to provide conflicting recommendations to source about the malicious node (resp. about some target), reducing source’s referral trust in some peers.  Eventually, this causes recommendations of some peers to be ignored incorrectly. May 21, 2012 Trust Networks: T. K. Prasad 125
  • 107.
    Example • Peer NodeSet 1: 1, 2, 3, and 4 • Peer Node Set 2: 5, 6, 7, and 8 • Malicious node 0 behaves well towards nodes in Set 1 but behaves badly towards nodes in Set 2. • When node 9 seeks recommendations from nodes in Set 1 U Set 2 on node 0, node 9 receives conflicting recommendations on malicious node 0, causing referral trust in nodes in Set 1 or nodes in Set 2 to be lowered. => Eventually throughput lowered May 21, 2012 Trust Networks: T. K. Prasad 126
  • 108.
    Security : Robustnessw.r.t. Attacks  Conflicting Behavior Attack  Issue: Can recommenders get feedback to reduce trust in malicious node? Otherwise, referral trust cannot be relied upon for detecting malicious nodes. May 21, 2012 Trust Networks: T. K. Prasad 127
  • 109.
    Security : Robustnessw.r.t. Attacks  If cumulative referral trust in B is computed using direct experiences of several recommenders, then it is possible to weed out extreme experiences using deviation from the mean trust value, where S is some chosen threshold. May 21, 2012 Trust Networks: T. K. Prasad Denko-Sun 2008 128
  • 110.
    Contents of [Ganeriwalet al, 2007] Paper • Combined trust of i in j is obtained from direct observations (aj,bj) of j by i and indirect observations (ajk,bjk) from k to i weighted by (ak,bk) using [Josang-Ismail, 2002] chaining/weighting/discounting rule. • This discounting rule makes the local trust computation resilient to bad mouthing ajk << bjk and ballot stuffing ajk >> bjk attacks from unreliable/malicious nodes ak << bk. • It requires aging to be resilient to sleeper attacks. May 21, 2012 Trust Networks: T. K. Prasad 129
  • 111.
    APPROACH/ Trust Type / Trust Model / Robustness to METRIC Context Foundation Attacks D[3] / Functional / One Trivial chaining / Ballot-stuffing; Binary Beta-PDF Bad-mouthing G[4] / Functional / Josang-Ismail Ballot-stuffing; Binary Indistinguishable discounting / Bad-mouthing; Beta-PDF Sleeper and On- off S[6] / Functional + Referral Limited chaining Ballot-stuffing; Binary / One and aggregation / Bad-mouthing; Beta-PDF Sleeper and On- off Q[28] / Multi-level Functional + Referral / No / Ballot-stuffing; Multiple Bayesian Bad-mouthing; Sleeper and On- Ad Hoc off; Sybil Ours / Functional + Referral / No / Ballot-stuffing; Multi-level Multiple Dirichlet-PDF Bad-mouthing; Sleeper and On- off; Conflicting behavior May 21, 2012 Trust Networks: T. K. Prasad 131
  • 112.
    Research Challenges (What-Why-How of trust?) HARD PROBLEMS May 21, 2012 Trust Networks: T. K. Prasad 132
  • 113.
    Generic Directions • Findingonline substitutes for traditional cues to derive measures of trust. • Creating efficient and secure systems for managing and deriving trust, in order to support decision making. Josang et al, 2007 May 21, 2012 Trust Networks: T. K. Prasad 133
  • 114.
    Robustness Issue You canfool some of the people all of the time, and all of the people some of the time, but you cannot fool all of the people all of the time. Abraham Lincoln, 16th president of US (1809 - 1865) May 21, 2012 Trust Networks: T. K. Prasad 134
  • 115.
    Trust : SocialNetworks vs Machine Networks • In social networks such as Facebook, trust is often subjective, while in machine networks and social networks such as Twitter, trust can be given an objective basis and approximated by trustworthiness. • Reputation is the perception that an agent creates through past actions about its intentions and norms. – Reputation can be a basis for trust. May 21, 2012 Trust Networks: T. K. Prasad 135
  • 116.
    Sensor Networks May 21,2012 Trust Networks: T. K. Prasad 137
  • 117.
    Our Research Abstract trustworthiness of sensors and observations to perceptions to obtain actionable situation awareness! Web T observe perceive T T “real-world” May 21, 2012 Trust Networks: T. K. Prasad 138
  • 118.
    Trust Strengthened Trust May 21, 2012 Trust Networks: T. K. Prasad 139
  • 119.
    Concrete Application • AppliedBeta-pdf to Mesowest Weather Data – Used quality flags (OK, CAUTION, SUSPECT) associated with observations from a sensor station over time to derive reputation of a sensor and trustworthiness of a perceptual theory that explains the observation. – Perception cycle used data from ~800 stations, collected for a blizzard during 4/1-6/03. May 21, 2012 Trust Networks: T. K. Prasad 140
  • 120.
    Concrete Application • PerceptionCycle – http://harp.cs.wright.edu/perception/ • Trusted Perception Cycle – http://www.youtube.com/watch?v=lTxzghCjGgU May 21, 2012 Trust Networks: T. K. Prasad 141
  • 121.
    Mean of betapdf vs. Time (for stnID = SBE) 1.2 1 0.8 Mean Beta 0.6 Value 0.4 0.2 0 3/31/2003 0:00 4/1/2003 0:00 4/2/2003 0:00 4/3/2003 0:00 4/4/2003 0:00 4/5/2003 0:00 4/6/2003 0:00 4/7/2003 0:00 Time May 21, 2012 Trust Networks: T. K. Prasad 142
  • 122.
    Research Issues • OutlierDetection – Homogeneous Networks • Statistical Techniques – Heterogeneous Networks (sensor + social) • Domain Models • Distinguishing between abnormal phenomenon (observation), malfunction (of a sensor), and compromised behavior (of a sensor) – Abnormal situations – Faulty behaviors – Malicious attacks Ganeriwal et al, 2008 May 21, 2012 Trust Networks: T. K. Prasad 143
  • 123.
    Social Networks May 21,2012 Trust Networks: T. K. Prasad 144
  • 124.
    Our Research • Studysemantic issues relevant to trust • Proposed model of trust/trust metrics to formalize indirect trust May 21, 2012 Trust Networks: T. K. Prasad 145
  • 125.
    Quote • Guha etal: While continuous-valued trusts are mathematically clean, from the standpoint of usability, most real-world systems will in fact use discrete values at which one user can rate another. • E.g., Epinions, Ebay, Amazon, Facebook, etc all use small sets for (dis)trust/rating values. May 21, 2012 Trust Networks: T. K. Prasad 147
  • 126.
    Our Approach  Trust formalized in terms of partial orders (with emphasis on relative magnitude)  Local but realistic semantics  Distinguishes functional and referral trust  Distinguishes direct and inferred trust  Direct trust overrides conflicting inferred trust  Represents ambiguity explicitly Thirunarayan et al , 2009 May 21, 2012 Trust Networks: T. K. Prasad
  • 127.
    Formalizing the Framework •Given a trust network (Nodes AN, Edges RL U PFL U NFL with Trust Scopes TSF, Local Orderings ⪯ANxAN), specify when a source can trust, distrust, or be ambiguous about a target, reflecting local semantics of: • Functional and referral trust links • Direct and inferred trust • Locality May 21, 2012 Trust Networks: T. K. Prasad 149
  • 128.
    (In recommendations) (For capacity to act) (For lack of capacity to act) May 21, 2012 Trust Networks: T. K. Prasad 150
  • 129.
    May 21, 2012 Trust Networks: T. K. Prasad 151
  • 130.
    May 21, 2012 Trust Networks: T. K. Prasad 152
  • 131.
    Similarly for Evidencein support of Negative Functional Trust. May 21, 2012 Trust Networks: T. K. Prasad 153
  • 132.
    Benefits of FormalAnalysis • Enables detecting and avoiding unintended consequences. – An earlier formalization gave priority to “certain“ conclusion from less trustworthy source over “ambiguous“ conclusion from more trustworthy source. The whole problem with the world is that fools and fanatics are always so certain of themselves, but wiser people so full of doubts. — Betrand Russell May 21, 2012 Trust Networks: T. K. Prasad 154
  • 133.
    Practical Issues • Refinementof numeric ratings using reviews in product rating networks – Relevance : Separate ratings of vendor or about extraneous features from ratings of product • E.g., Issues about Amazon’s policies • E.g., Publishing under multiple titles (Paul Davies’ “The Goldilock’s Enigma” vs. “Cosmic Jackpot”) – Polarity/Degree of support: Check consistency between rating and review using sentiment analysis; amplify hidden sentiments • E.g., rate a phone as 1-star because it is the best  May 21, 2012 Trust Networks: T. K. Prasad 155
  • 134.
    Research Issues • Determinationof trust / influence from social networks – Text analytics on communication – Analysis of network topology • E.g., follower relationship, friend relationship, etc. • Determination of untrustworthy and anti-social elements in social networks • HOLY GRAIL: Direct Semantics in favor of Indirect Translations May 21, 2012 Trust Networks: T. K. Prasad 157
  • 135.
    Research Issues • ImprovingSecurity : Robustness to Attack – How to exploit different trust processes to detect and recover from attacks? • Bad mouthing attack • Ballot stuffing attack • Sleeper attack – Temporal trust discounting proportional to trust value – Using policy-based process to ward-off attack using reputation-based process • Sybil attack • Newcomer attack May 21, 2012 Trust Networks: T. K. Prasad 160
  • 136.
    Research Issues • Intelligentintegration of mobile sensor and social data for situational awareness – To exploit complementary and corroborative evidence provided by them – To obtain qualitative and quantitative context – To improve robustness and completeness – To incorporate socio-cultural, linguistic and behavioral knowledge as part of ontologies to improve semantic processing and analysis of data May 21, 2012 Trust Networks: T. K. Prasad 161
  • 137.
    Complementary and Corroborative Information Sensors observe slow moving traffic Complementary information from social networks May 21, 2012 Trust Networks: T. K. Prasad 162
  • 138.
    Corroborative Evidence Evidence for reported observations May 21, 2012 Trust Networks: T. K. Prasad 163
  • 139.
    Interpersonal and Ecommerce Networks May 21, 2012 Trust Networks: T. K. Prasad 164
  • 140.
    Research Issues • Linguisticclues that betray trustworthiness • Experiments for gauging interpersonal trust in real world situations – *Techniques and tools to detect and amplify useful signals in Self to more accurately predict trust and trustworthiness in Others *IARPA-TRUST program May 21, 2012 Trust Networks: T. K. Prasad 165
  • 141.
    Research Issues • Otherclues for gleaning trustworthiness – Face (in photo) can effect perceived trustworthiness and decision making –Trust-inducing features of e-commerce sites can impact buyers – Personal traits: religious beliefs, age, gullibility, benevolence, etc – Nature of dyadic relationship May 21, 2012 Trust Networks: T. K. Prasad 166
  • 142.
    Research Issues • Studyof cross-cultural differences in trustworthiness qualities and trust thresholds to better understand – Influence • What aspects improve influence? – Manipulation • What aspects flag manipulation? May 21, 2012 Trust Networks: T. K. Prasad 167
  • 143.
    Collaborative Systems : Grid and P2P Computing May 21, 2012 Trust Networks: T. K. Prasad 168
  • 144.
    Research Issues • Trust-awareresource management and scheduling – Clients specify resource preferences/requirements/constraints • Trust models for P2P systems – To detect bad domains – To detect bogus recommendations and attacks Azzedin and Maheshwaran, 2002-2003 Azzedin and Ridha, 2010 Bessis et al, 2011 May 21, 2012 Trust Networks: T. K. Prasad 169
  • 145.
    Bayesian Trust ManagementFramework : Multi-level Trust Metric Illustrating a General Approach Quercia et al 2006 Josang and Haller 2007 May 21, 2012 Trust Networks: T. K. Prasad Thirunarayan et al 2012 170
  • 146.
    Outline • Motivation :Multi-level trust management • Mathematical Foundation: Dirichlet Distribution • Implementation and Behavior Details: – Local Trust Data Structures – Trust Formation – Bayesian Trust Evolution • Analysis of Robustness to Attacks: Security • Evaluation: Example trace vs. experiment May 21, 2012 Trust Networks: T. K. Prasad 171
  • 147.
    Motivation • Uses K-leveldiscrete trust metric – E.g., Amazon’s 5-star trust metric can be interpreted as signifying (very untrustworthy, untrustworthy, neutral, trustworthy, very trustworthy) or (very dissatisfied, dissatisfied, neutral, satisfied, very satisfied). May 21, 2012 Trust Networks: T. K. Prasad 172
  • 148.
    Approach • Multi-level trustmanagement approach formalizes a distributed, robust, lightweight, computational trust that takes into account context, subjectivity, and time. • Applies Dirichlet distribution, a generalization of Beta-distribution. May 21, 2012 Trust Networks: T. K. Prasad 173
  • 149.
    Dirichlet Distribution May 21,2012 Trust Networks: T. K. Prasad 174
  • 150.
    K-level Trust Metric •K-level trust probability vector: x = (x1, . . ., xK) where (x1 + . . . + xK = 1). • Example: If a 5-star rating system has 50 people giving 5-stars, 20 people giving 4-stars, 5 people giving 3-stars, 5 people giving 2-stars, and 20 people giving 1-star, then the 5-level trust metric probability vector is (0.5,0.2,0.05,0.05,0.2). May 21, 2012 Trust Networks: T. K. Prasad 175
  • 151.
    Trust and Experience •Experience is a realization of latent trust and helps predicting trust. • Probability of an experience-level sequence, with a1 - 1 counts of level 1 experience, …, aK - 1 counts of level K experience is: * ( (a1 +…+ aK – K) ! / (a1-1 ! *…* aK-1 !) ) May 21, 2012 Trust Networks: T. K. Prasad 176
  • 152.
    Dirichlet Distribution • TheDirichlet distribution is the probability density function for x = (x1, . . ., xK) given (a1,…,aK): May 21, 2012 Trust Networks: T. K. Prasad 177
  • 153.
    Why use DirichletDistribution? • If the prior distribution of x is uniform, then the Dirichlet family of distribution shown below gives posterior distribution of x after ai-1 occurrences of level i experience with probability xi, for each i in [1, K]: May 21, 2012 Trust Networks: T. K. Prasad 178
  • 154.
    Why use DirichletDistribution? • Dirichlet distribution is a conjugate prior for multinomial distribution. • Consequence: – Estimated distribution updated for a new experience at level i, by just incrementing ai parameter. – In contrast: if prior distribution is different from Dirichlet, then it is conceptually hard to comprehend and computationally inefficient to compute posterior distribution, in general. – Icing on the cake: Uniform distribution (signifying ignorance) is Dirichlet! May 21, 2012 Trust Networks: T. K. Prasad 179
  • 155.
    Dirichlet distribution isa conjugate prior for multinomial distribution. May 21, 2012 Trust Networks: T. K. Prasad 180
  • 156.
    Why use DirichletDistribution? • Convenient Abstraction –Abstraction of K-level Dirichlet distribution by combining different levels still yields Dirichlet distribution with the corresponding parameters merged. • Conceptually and computationally pleasing property May 21, 2012 Trust Networks: T. K. Prasad 181
  • 157.
    Visualizing Dirichlet Distribution(K=3): Color Density plot on 2D simplex May 21, 2012 Trust Networks: T. K. Prasad 182
  • 158.
    Dynamic Trustworthiness • Bestestimate of trust for Dir(a1,...,aK) (gleaned from (ai-1) experiences at level i, for all i in [1,K]) is the mean vector (a1/a0,…,aK/a0), and the associated confidence is the variance vector. May 21, 2012 Trust Networks: T. K. Prasad 183
  • 159.
    Implementation and BehaviorDetails May 21, 2012 Trust Networks: T. K. Prasad 184
  • 160.
    Local Data Structures •To store relevant information to compute direct (functional) and indirect (referral) trust. • Each node maintains locally, for each peer and each context, four vectors of length K. May 21, 2012 Trust Networks: T. K. Prasad 185
  • 161.
    Local Data Structures • Direct Trust Vector: Peers X Contexts X Peers -> Probability-Vector-K • dtv(px,c,py) = (d1,d2,…,dK) • Direct Experience Matrix: Peers X Contexts X Peers -> Count-Vector-K • dem(px,c,py) = (ec1,…,ecK) May 21, 2012 Trust Networks: T. K. Prasad 186
  • 162.
    Local Data Structures • Recommended Trust Vector: Peers X Contexts X Peers -> Probability- Vector-K • rtv(px,c,py) = (r1,r2,…,rK) • Sent Recommendation Matrix: Peers X Contexts X Peers -> Count-Vector-K • srm(px,c,py) = (sr1,…,srK) May 21, 2012 Trust Networks: T. K. Prasad 187
  • 163.
    Local Data Structures •Initialization: To reflect complete ignorance via uniform distribution, we set the probability vectors dtv and rtv to (1/K,…,1/K), and the elements of the count vector dem and srm to (0,…,0). • These are Dirichlet distributed in the limiting case where ai’s are 1. May 21, 2012 Trust Networks: T. K. Prasad 188
  • 164.
    Trust Formation • Overalltrust vector is weighted combination of direct trust vector and recommended trust vector. • Weights determined using – Objective confidence values using variance (deviation from the mean) – Subjective relative preference for direct experience over recommendations • Dependence on recommended trust yet to be explored May 21, 2012 Trust Networks: T. K. Prasad 189
  • 165.
    Trust Decision • Assumingthat trust-level scale is linear, the trust distribution vector (d1,d2,…,dK) can be mapped to the closed interval [0,1], or to consolidated trust level, in order to act. • Trust threshold should be determined based on the context and risk tolerance / disposition / propensity to trust. May 21, 2012 Trust Networks: T. K. Prasad 190
  • 166.
    Trust Evolution • Direct(recommended) trust vectors are updated for a new experience (recommendation). • Key Idea: Dirichlet distribution is the conjugate prior of the multinomial distribution. So it is adequate to maintain counts of direct experience and sent recommendations, to best estimate direct trust and recommended trust vectors respectively. May 21, 2012 Trust Networks: T. K. Prasad 191
  • 167.
    Trust Evolution • SimpleScheme (Direct Trust) For a new experience at level i, dem(px,x,py) = (ec1,…,ecK) becomes demnew(px,x,py) = (ec1,…, eci+1,…,ecK) and dtv(px,c,py) becomes dtvnew(px,c,py) = (d1,d2,…,dK) where di = eci+1 / (ec1 + … + eck+1) and dj = ecj / (ec1 + … + eck+1) for each j in [1,K] and j =/= i. May 21, 2012 Trust Networks: T. K. Prasad 192
  • 168.
    Trust Evolution • RobustScheme To incorporate differential aging of experience counts as a function of their level (and to incorporate “long term memory for low-level experience and short term memory for high- level experience”), we use a decay vector (l1,…,lK), where 1 >= l1 >= … >= lK > 0, that modifies update rule as: May 21, 2012 Trust Networks: T. K. Prasad 193
  • 169.
    Trust Evolution • RobustScheme (Direct Trust) For a new experience at level i, dem(px,x,py) = (ec1,…,ecK) becomes demnew(px,x,py) = (ec1,…, eci + 1,…,ecK). For every clock tick (with context-based delay), dem(px,x,py) = (ec1,…,ecK) becomes demnew(px,x,py) = (l1*ec1,…, lK*ecK) May 21, 2012 Trust Networks: T. K. Prasad 194
  • 170.
    Trust Evolution • RobustScheme (Direct Trust) For every clock unit and new experience, dtv(px,c,py) becomes dtvnew(px,c,py) = (d1,d2,…,dK) where di = eci / (ec1 + … + eck) for each i in [1,K]. • Subtlety: Experience counts should saturate at 1 rather than diminish to 0 with time. (See code) May 21, 2012 Trust Networks: T. K. Prasad 195
  • 171.
    Trust Evolution Illustrated Final Trust Distribution Final Trust Distribution Experience Sequence (Simple Scheme) (Robust Scheme) [1,1,1] (0.57,0.14,0.14,0.14) (0.55,0.15,0.15,0.15) [1,4,1,4] (0.375,0.125,0.125,0.375) (0.42,0.14,0.14,0.29) [1,1,4,4,4,4,1,1] (0.42,0.08,0.08,0.42) (0.5,0.1,0.1,0.3) [1,1,4,4,4,4,1,1,1] (0.53,0.07,0.07,0.33) (0.64,0.1,0.1,0.17) [2,3,2,3] (0.125,0.375,0.375,0.125) (0.16,0.4,0.3,0.14) May 21, 2012 Trust Networks: T. K. Prasad 196
  • 172.
    Trust Evolution Illustrated Experience Trust Distribution Trace Trust Distribution Trace Beta-pdf Sequence Value (Simple Scheme) (Robust Scheme) (cf. n =2) (0.25,0.25,0.25,0.25) (0.25,0.25,0.25,0.25) 0.5 1 (0.4,0.2,0.2,0.2) (0.4,0.2,0.2,0.2) 0.33 1 (0.5,0.17,0.17,0.17) (0.53,0.165,0.155,0.15) 0.25 1 (0.57,0.14,0.14,0.14) (0.55,0.15,0.15,0.15) 0.2 n (0.5,0.125,0.125,0.25) (0.5,0.13,0.12,0.25) 0.33 n (0.44,0.11,0.11,0.33) (0.46,0.135,0.135,0.27) 0.43 n (0.4,0.1,0.1,0.4) (0.42,0.12,0.11,0.35) 0.5 n (0.36,0.1,0.1,0.45) (0.37,0.12,0.12,0.38) 0.55 1 (0.42,0.08,0.08,0.41) (0.47,0.11,0.11,0.31) 0.5 1 (0.46,0.08,0.08,0.38) (0.53,0.11,0.11,0.24) 0.45 1 (0.5,0.07,0.07,0.35) (0.6,0.1,0.1,0.2) 0.41 1 (0.53,0.07,0.07,0.33) (0.65,0.1,0.1,0.14) 0.38 n (0.5,0.0625,0.0625,0.375) (0.6,0.1,0.1,0.2) 0.43 1 (0.53,0.06,0.06,0.35) (0.64,0.1,0.1,0.17) 0.4 May 21, 2012 Trust Networks: T. K. Prasad 197
  • 173.
    May 21, 2012 Trust Networks: T. K. Prasad 198
  • 174.
    May 21, 2012 Trust Networks: T. K. Prasad 199
  • 175.
    Analysis and RobustnessIssues May 21, 2012 Trust Networks: T. K. Prasad 200
  • 176.
    Salient Properties • Symmetry – Simple Scheme is symmetric w.r.t. trust/experience levels while Robust Scheme is somewhat asymmetric because of non-uniform decay. – Experience levels are “preserved” in that extreme/controvertial behavior (credulous interpretation) is treated differently from ignorance (skeptical interpretation). May 21, 2012 Trust Networks: T. K. Prasad 201
  • 177.
    Salient Properties • Effectof Order of Experience – Simple Scheme is sensitive to the counts of various experience levels, but not to the order of experience. – Robust Scheme is sensitive to the order of experience. May 21, 2012 Trust Networks: T. K. Prasad 202
  • 178.
    Salient Properties • DifferentialAging of experience levels • It exhibits limited and selective memory. –It retains low-level experiences much longer than high-level experiences. »Parameters: Decay rate and saturation May 21, 2012 Trust Networks: T. K. Prasad 203
  • 179.
    Related Work onMulti-level Trust with Applications The described approach is similar to Dirichlet Reputation System [Josang-Haller, 2007]. Applications: • Browser toolbar for clients to see the user ratings and for users to provide ratings (critical surfer model) [Josang-Haller, 2007] • Evaluating partners in Collaborative Environments [Yang and Cemerlic, 2009] • Formalizing Multi-Dimensional Contracts [Reece, et al, 2007] • In Collaborative Intrusion Detection System [Fung et al, 2011 ] May 21, 2012 Trust Networks: T. K. Prasad 204
  • 180.
    Conclusion • Provided simpleexamples of trust (Why?) • Explained salient features of trust (What?) • Showed examples of gleaning trustworthiness (How?) • Touched upon research challenges in the context of • Sensor Networks • Social Networks • Interpersonal Networks • Collaborative Environments May 21, 2012 Trust Networks: T. K. Prasad 206
  • 181.
    Holy Grail for Automatic Trust Computation Develop expressive trust networks that can be assigned objective semantics. May 21, 2012 Trust Networks: T. K. Prasad 207
  • 182.
    Thank You! May 21,2012 Trust Networks: T. K. Prasad 208